精英家教网 > 高中数学 > 题目详情

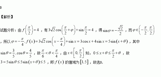
已知的图像过点,则在区

上的值域为( )

A. B. C. D.

练习册系列答案
相关习题

科目:高中数学 来源:2016届河南省高三下第二次联考理科数学卷(解析版) 题型:选择题

已知函数的图象的相邻两对称轴间的距离为,则当

时,的最大值和单调区间分别为( )

A.1, B.1, C. D.

查看答案和解析>>

科目:高中数学 来源:2016届河南省洛阳市高三毕业班三练数学(理)试卷(解析版) 题型:

已知数列满足,若不等式 恒成立,则实数的取值范围是__________

查看答案和解析>>

科目:高中数学 来源:2016届安徽省安庆市高三第三次模拟考试数学(文)试卷(解析版) 题型:解答题

选修4-4:坐标系与参数方程

已知在平面直角坐标系中,曲线的参数方程为:为参数),上任意一点,以

轴的非负半轴为极轴,原点为极点建立极坐标系,并在两坐标系中取相同的长度单位.

(1)求曲线的直角坐标方程;

(2)直线的极坐标方程为,求到直线的最大距离.

查看答案和解析>>

科目:高中数学 来源:2016届安徽省安庆市高三第三次模拟考试数学(文)试卷(解析版) 题型:填空题

如图,已知抛物线的焦点为,过的直线交抛物线于,交抛物线的准

线于点,若,则______.

查看答案和解析>>

科目:高中数学 来源:2016届安徽省安庆市高三第三次模拟考试数学(文)试卷(解析版) 题型:选择题

某几何体的三视图如图所示,则该几何体的体积为( )

A. B. C. D.

查看答案和解析>>

科目:高中数学 来源:2016届安徽省安庆市高三第三次模拟考试数学(理)试卷(解析版) 题型:解答题

设数列的前项之积为,且

(1)求数列的通项公式;

(2)设,数列的前项之和为.若对任意的,总有,求实

的取值范围.

查看答案和解析>>

科目:高中数学 来源:2015-2016学年江西省高二上第二次段考文科数学(解析版) 题型:解答题

已知函数

(1)当时,求的极值;

(2)令,求函数的单调减区间.

查看答案和解析>>

科目:高中数学 来源:2015-2016福建师大附中高一下期中考数学(实验班)试卷(解析版) 题型:选择题

已知之间的一组数据:

0

1

2

3

3

5.5

7

已求得关于的线性回归方程为,则的值为( )

A.1 B.0.85 C.0.7 D.0.5

查看答案和解析>>

同步练习册答案