精英家教网 > 高中数学 > 题目详情

选修4-4:坐标系与参数方程

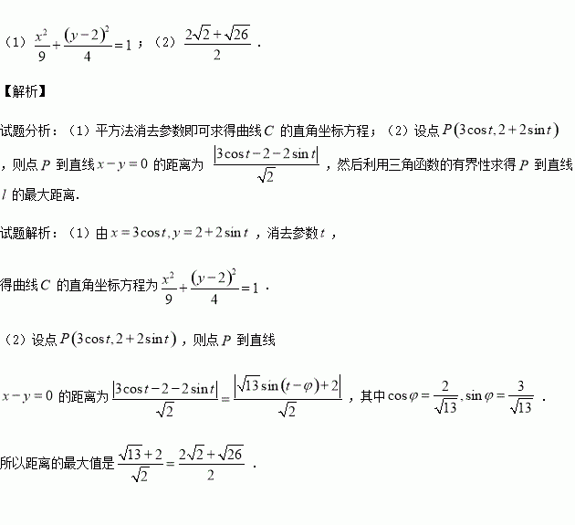
已知在平面直角坐标系中,曲线的参数方程为:为参数),上任意一点,以

轴的非负半轴为极轴,原点为极点建立极坐标系,并在两坐标系中取相同的长度单位.

(1)求曲线的直角坐标方程;

(2)直线的极坐标方程为,求到直线的最大距离.

练习册系列答案
相关习题

科目:高中数学 来源:2016届河南省高三下第二次联考理科数学卷(解析版) 题型:解答题

设函数.

(1)求函数的单调区间;

(2)设,若对于任意给定的,方程内有两个不同的实数

根,求的取值范围.(其中是自然对数的底数)

查看答案和解析>>

科目:高中数学 来源:2016届河南省洛阳市高三毕业班三练数学(文)试卷(解析版) 题型:

已知是首项为的等差数列,为数列的前项和,若,则( )

A. B. C. D.

查看答案和解析>>

科目:高中数学 来源:2016届河南省洛阳市高三毕业班三练数学(理)试卷(解析版) 题型:

已知点在双曲线的右支上,分别为双曲线的左、右焦点,若,则该双曲线的离心率的取值范围是( )

A. B. C. D.

查看答案和解析>>

科目:高中数学 来源:2016届河南省洛阳市高三毕业班三练数学(理)试卷(解析版) 题型:

是由正数组成的等比数列,其前项和为,已知,则( )

A. B. C. D.

查看答案和解析>>

科目:高中数学 来源:2016届安徽省安庆市高三第三次模拟考试数学(文)试卷(解析版) 题型:解答题

某校为了解高一期末数学考试的情况,从高一的所有学生数学试卷中随机抽取份试卷进行成绩分析,得到数学成绩频率分布直方图(如图所示),其中成绩在的学生人数为6.

(1)估计所抽取的数学成绩的众数;

(2)用分层抽样的方法在成绩为这两组中共抽取5个学生,并从这5个学生中任取2

人进行点评,求分数在恰有1人的概率.

查看答案和解析>>

科目:高中数学 来源:2016届安徽省安庆市高三第三次模拟考试数学(文)试卷(解析版) 题型:选择题

已知的图像过点,则在区

上的值域为( )

A. B. C. D.

查看答案和解析>>

科目:高中数学 来源:2016届安徽省安庆市高三第三次模拟考试数学(理)试卷(解析版) 题型:选择题

已知函数.若,则实数的取值范围是( )

A. B. C. D.

查看答案和解析>>

科目:高中数学 来源:2015-2016福建师大附中高一下期中考数学(实验班)试卷(解析版) 题型:填空题

《九章算术》是我国古代数学成就的杰出代表.其中《方田》章给出计算弧田面积所用的经

验公式为:弧田面积=.弧田,由圆弧和其所对弦所围成.公式中“弦”指圆弧对弦长,

“矢”等于半径长与圆心到弦的距离之差,按照上述经验公式计算所得弧田面积与实际面积之间存在误

差.现有圆心角为,弦长等于米的弧田.按照《九章算术》中弧田面积的经验公式计算所得弧田

面积与实际面积的差为

查看答案和解析>>

同步练习册答案