精英家教网 > 高中数学 > 题目详情

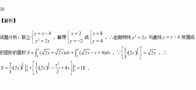
求抛物线与直线所围成图形的面积________

练习册系列答案
相关习题

科目:高中数学 来源:2015-2016湖南常德石门一中高二下第一次月考文科数学卷(解析版) 题型:选择题

为了解某社区居民的家庭年收入和年支出的关系,随机调查了该社区5户家庭,得到如下统计数据表:

根据上表可得回归直线方程,其中,据此估计,该社区一户收入为15万元家庭年支出为( )

A.11.4万元 B.11.8万元 C.12.0万元 D.12.2万元

查看答案和解析>>

科目:高中数学 来源:2015-2016学年福建省高二下周练文科数学试卷(解析版) 题型:填空题

命题“”为假命题,则实数的取值范围是 .

查看答案和解析>>

科目:高中数学 来源:2015-2016学年贵州遵义航天高中高二3月考文科数学试卷(解析版) 题型:选择题

在“”,“”,“”形式的命题中“”为真,“”为假,“”为真,那么的真假情况分别为 ( )

A.真,假 B.假,真 C.真,真 D.假,假

查看答案和解析>>

科目:高中数学 来源:2015-2016学年贵州遵义航天高中高二3月考理科数学试卷(解析版) 题型:解答题

已知顶点在原点,焦点在轴上的抛物线被直线截得的弦长为,求抛物线的方程.

查看答案和解析>>

科目:高中数学 来源:2015-2016学年贵州遵义航天高中高二3月考理科数学试卷(解析版) 题型:选择题

已知双曲线)的右焦点为,若过点且倾斜角为的直线与双曲线的右支有且只有一个交点,则此双曲线的离心率的取值范围是( )

A.(1,2] B.(1,2)

C.[2,+∞) D.(2,+∞)

查看答案和解析>>

科目:高中数学 来源:2015-2016学年贵州遵义航天高中高二3月考理科数学试卷(解析版) 题型:选择题

等于( )

A. B. C. D.

查看答案和解析>>

科目:高中数学 来源:2016届河南省洛阳市高三下学期第二次模拟文科数学试卷(解析版) 题型:选择题

已知函数的定义域为,值域为,则的值不可能是( )

A. B.π C. D.2π

查看答案和解析>>

科目:高中数学 来源:2015-2016学年广东省汕头市高一下期中数学试卷(解析版) 题型:选择题

若关于x的不等式a≤x2-3x+4≤b的解集恰好是[a,b](a<b),则a+b的值为( )

A.5 B.4 C. D.

查看答案和解析>>

同步练习册答案