精英家教网 > 高中数学 > 题目详情
已知等比数列{bn}的公比为3,数列{an}满足,且a1=1。
(1)判断{an}是何种数列,并给出证明;
(2)若,Tn是数列{Cn}的前n项和,求使得对所有n∈N*都成立的最小正整数m。
解:(1)数列为等差数列;
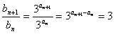
证明:因为数列是公比为3的等比数列,
所以,
所以,
即数列是首项为1,公差为1的等差数列.
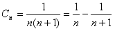
(2)由(1)可知,则
于是

,得
对所有n∈N*都成立,所以,
所以,使得对所有n∈N*都成立的最小正整数m=30。
练习册系列答案
相关习题

科目:高中数学 来源: 题型:

已知数列{an}满足2an+1=an+an+2(n=1,2,3,…),它的前n项和为Sn,且a3=5,S6=36.
(1)求an
(2)已知等比数列{bn}满足b1+b2=1+a,b4+b5=a3+a4(a≠-1),设数列{an•bn}的前n项和为Tn,求Tn

查看答案和解析>>

科目:高中数学 来源: 题型:

已知等比数列{bn},公比q>0,b3=8,前n项和Tn满足T3=14,且数列{an}满足an+1-2log2bn=0(n∈N*
(1)求{an},{bn}的通项公式;
(2)数列{cn}满足cn=an•bn,求数列{cn}的前n项和Sn

查看答案和解析>>

科目:高中数学 来源: 题型:

已知等比数列{bn}与数列{an}满足bn=3an,n∈N*
(1)判断{an}是何种数列,并给出证明;
(2)若a8+a13=m,求b1b2…b20

查看答案和解析>>

科目:高中数学 来源: 题型:

(1)已知等差数列{an}满足a3+a6=9,a1a8=8,a1>a8,求数列{an}的前n项和Sn
(2)已知等比数列{bn}满足b3=2,b2+b4=
203
,求{bn}的通项公式.

查看答案和解析>>

科目:高中数学 来源: 题型:

已知等比数列{bn}与数列{an}满足bn=3an(n∈N*)判断{an}是何种数列,并给出证明.

查看答案和解析>>

同步练习册答案