精英家教网 > 高中数学 > 题目详情

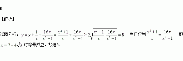
,则函数的最小值为( )

A. B. C. D.非上述情况

练习册系列答案
相关习题

科目:高中数学 来源:2015-2016学年甘肃省嘉峪关市高二上学期期末文科数学试卷(解析版) 题型:填空题

方程表示的曲线为,给出下列四个命题:

①曲线不可能是圆;

②若,则曲线为椭圆;

③若曲线为双曲线,则

④若曲线表示焦点在轴上的椭圆,则.

其中正确的是__________.

查看答案和解析>>

科目:高中数学 来源:2015-2016学年安徽省高一下期中数学试卷(解析版) 题型:解答题

已知圆,直线,且直线与圆交于两点.

(1)若,求直线的倾斜角;

(2)若点满足,求此时直线的方程.

查看答案和解析>>

科目:高中数学 来源:2015-2016学年辽宁东北育才学校高二下期中文科数学试卷(解析版) 题型:解答题

已知函数

(I)若,求函数的极值和单调区间;

(II)若在区间上至少存在一点,使得成立,求实数的取值范围.

查看答案和解析>>

科目:高中数学 来源:2015-2016学年辽宁东北育才学校高二下期中文科数学试卷(解析版) 题型:填空题

参数方程的普通方程为_____.

查看答案和解析>>

科目:高中数学 来源:2015-2016学年辽宁东北育才学校高二下期中文科数学试卷(解析版) 题型:选择题

已知函数,且,则的值为( )

A. B.2 C. D.

查看答案和解析>>

科目:高中数学 来源:2015-2016学年辽宁东北育才学校高二下期中理科数学试卷(解析版) 题型:解答题

已知为坐标原点,为函数图像上一点,记直线的斜率

(Ⅰ)若函数在区间上存在极值,求实数的取值范围;

(Ⅱ)当时,不等式恒成立,求实数的取值范围.

查看答案和解析>>

科目:高中数学 来源:2015-2016学年辽宁东北育才学校高二下期中理科数学试卷(解析版) 题型:选择题

复数,则( )

A. B.的实部为1 C.的虚部为 D.的共轭复数为

查看答案和解析>>

科目:高中数学 来源:2016届江苏省高三考前一周双练冲刺四数学试卷(解析版) 题型:填空题

在周长为10的中,,则的最小值是 .

查看答案和解析>>

同步练习册答案