精英家教网 > 高中数学 > 题目详情
如图,已知点B是椭圆(a>b>0)的短轴位于x轴下方的端点,过B作斜率为1的直线交椭圆于点M,点P在y轴上,且PM∥x轴,=9,若点P的坐标为(0,t),则t的取值范围是( )

A.0<t<3
B.0<t≤3
C.
D.
【答案】分析:由题意可得直线MB的方程为y=x-b,联立直线与椭圆方程可求M,由PM∥x轴可求P,结合已知及向量的数量积的定义,||||cos45°=9可得||=3,从而可得t=3-b=,整理可得,由t=3-b<b,a>b可求t的范围
解答:解:由题意可得B(0,-b)
∴直线MB的方程为y=x-b
联立方程 可得(a2+b2)x2-2ba2x=0
∴M(),
∵PM∥x轴
∴P(0,
=(0,+b),=(+b)
=9,
由向量的数量积的定义可知,||||cos45°=9
即||=3
∵P(0,t),B(0,-b)
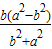
∴t=3-b=
∴2a2b=3a2+3b2
∵t=3-b<b
∴b,t
由a>b得>b2
∴b<3
∴t>0
综上所述0<t<
故选C
点评:本题主要考查了直线与椭圆的相交关系的应用,向量的基本运算的应用及一定的逻辑推理与运算的能力.
练习册系列答案
相关习题

科目:高中数学 来源: 题型:

如图,已知点B是椭圆
x2
a2
+
y2
b2
=1
(a>b>0)的短轴位于x轴下方的端点,过B作斜率为1的直线交椭圆于点M,点P在y轴上,且PM∥x轴,
BP
BM
=9,若点P的坐标为(0,t),则t的取值范围是(  )

查看答案和解析>>

科目:高中数学 来源:2010-2011学年湖北省武汉二中、龙泉中学高二下学期期末联考文科数学 题型:单选题

如图,已知点B是椭圆 的短轴位于x轴下方的端点,
过B作斜率为1的直线交椭圆于点M,点P在y轴上,且PM//x轴, ?  =9,若点P的坐标为(0,t),则t的取值范围是 (   )

A.0<t<3B.0<t≤3C.D.

查看答案和解析>>

科目:高中数学 来源:2012届湖北省高二下学期期末联考理科数学 题型:选择题

如图,已知点B是椭圆 的短轴位于x轴下方的端点,过B作斜率为1的直线交椭圆于点M,点P在y轴上,且PM//x轴,,若点P的坐标为(0,t),则t的取值范围是                                          (    )

 

A.0<t<3       B.0<t≤3   C.          D.

 

查看答案和解析>>

科目:高中数学 来源:2012届湖北省高二下学期期末联考文科数学 题型:选择题

如图,已知点B是椭圆 的短轴位于x轴下方的端点,

 

过B作斜率为1的直线交椭圆于点M,点P在y轴上,且PM//x轴,,若点P的坐标为(0,t),则t的取值范围是             (    )

 

A.0<t<3       B.0<t≤3   C.     D.

 

查看答案和解析>>

科目:高中数学 来源:不详 题型:单选题

如图,已知点B是椭圆
x2
a2
+
y2
b2
=1
(a>b>0)的短轴位于x轴下方的端点,过B作斜率为1的直线交椭圆于点M,点P在y轴上,且PMx轴,
BP
BM
=9,若点P的坐标为(0,t),则t的取值范围是(  )
A.0<t<3B.0<t≤3C.0<t<
3
2
D.0<t≤
3
2
精英家教网

查看答案和解析>>

同步练习册答案