精英家教网 > 高中数学 > 题目详情
已知数列{an}中,a1=3,a2=5,其前n项和Sn满足Sn+Sn-2=2Sn-1+2n-1(n≥3).令
(Ⅰ)求数列{an}的通项公式;
(Ⅱ)若f(x)=2x-1,求证:(n≥1);
(Ⅲ)令(a>0),求同时满足下列两个条件的所有a的值:①对于任意正整数n,都有;②对于任意的,均存在n∈N*,使得n≥n时,Tn>m.
【答案】分析:(Ⅰ)由题意知Sn-Sn-1=Sn-1-Sn-2+2n-1(n≥3)即an=an-1+2n-1再用累加法求解.
(Ⅱ)由(I)求得bn,再观察Tn=b1f(1)+b2f(2)+…+bnf(n)可用裂项相消法求解.
(Ⅲ)受(II )的启发,我们可以先a=2研究,由(Ⅱ)知:,即条件①满足;又

因为是恒成立,所以取n等于不超过的最大整数,则当n≥n时,Tn>m(ⅱ)当a>2时,∵n≥1,,∴,.(ⅲ)当0<a<2时,∵n≥1,,∴,分别放缩研究.
解答:解:(Ⅰ)由题意知Sn-Sn-1=Sn-1-Sn-2+2n-1(n≥3)
即an=an-1+2n-1(n≥3)(1分)
∴an=(an-an-1)+(an-1-an-2)++(a3-a2)+a2
=2n-1+2n-2++22+5
=2n-1+2n-2++22+2+1+2
=2n+1(n≥3)(3分)
检验知n=1、2时,结论也成立,故an=2n+1.(4分)
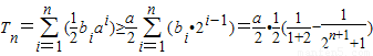
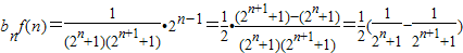
(Ⅱ)由于

=.(9分)
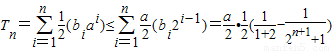
(Ⅲ)(ⅰ)当a=2时,由(Ⅱ)知:,即条件①满足;又

取n等于不超过的最大整数,则当n≥n时,Tn>m.(10分)
(ⅱ)当a>2时,∵n≥1,,∴


由(ⅰ)知存在n∈N*,当n≥n时,
故存在n∈N*,当n≥n时,,不满足条件.(12分)
(ⅲ)当0<a<2时,∵n≥1,,∴


,若存在n∈N*,当n≥n时,Tn>m,

矛盾.故不存在n∈N*
当n≥n时,Tn>m.不满足条件.
综上所述:只有a=2时满足条件,故a=2.(14分)
点评:本题主要考查累加法求通项,裂项相消法求和,具体到一般分类讨论等思想方法的运用.
练习册系列答案
相关习题

科目:高中数学 来源: 题型:

已知数列{an}中,a1=1,an+1-an=
1
3n+1
(n∈N*)
,则
lim
n→∞
an
=
 

查看答案和解析>>

科目:高中数学 来源: 题型:

已知数列{an}中,a1=1,an+1=
an
1+2an
,则{an}的通项公式an=
1
2n-1
1
2n-1

查看答案和解析>>

科目:高中数学 来源: 题型:

已知数列{an}中,a1=1,a1+2a2+3a3+…+nan=
n+1
2
an+1(n∈N*)

(1)求数列{an}的通项公式;
(2)求数列{
2n
an
}
的前n项和Tn

查看答案和解析>>

科目:高中数学 来源: 题型:

已知数列{an}中,a1=
1
2
Sn
为数列的前n项和,且Sn
1
an
的一个等比中项为n(n∈N*
),则
lim
n→∞
Sn
=
1
1

查看答案和解析>>

科目:高中数学 来源: 题型:

已知数列{an}中,a1=1,2nan+1=(n+1)an,则数列{an}的通项公式为(  )
A、
n
2n
B、
n
2n-1
C、
n
2n-1
D、
n+1
2n

查看答案和解析>>

同步练习册答案