精英家教网 > 高中数学 > 题目详情

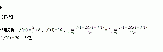
已知函数,则的值为( )

A. B. C. D.

练习册系列答案
相关习题

科目:高中数学 来源:2015-2016学年广西桂林十八中高二下期中文科数学试卷(解析版) 题型:选择题

一个几何体的三视图如图所示(单位:cm),则该几何体的体积是

A. B C. D.7

查看答案和解析>>

科目:高中数学 来源:2015-2016学年黑龙江省高二下期中文数学试卷(解析版) 题型:选择题

如果圆上有且仅有两个点到原点的距离为2,那么实数的取值范围为( )

A. B.

C. D.

查看答案和解析>>

科目:高中数学 来源:2015-2016学年黑龙江省高二下期中理数学试卷(解析版) 题型:填空题

函数 在区间上的极值点为

查看答案和解析>>

科目:高中数学 来源:2015-2016学年黑龙江省高二下期中理数学试卷(解析版) 题型:选择题

由曲线 与直线 所围成的平面图形的面积为( )

A. B. C. D.

查看答案和解析>>

科目:高中数学 来源:2015-2016学年黑龙江大庆一中高二下第二次段考文数学卷(解析版) 题型:解答题

如图,已知在三棱锥中,的中点,的中点,且为正三角形.

(1)求证:∥平面

(2)求证:平面平面.

查看答案和解析>>

科目:高中数学 来源:2015-2016学年黑龙江大庆一中高二下第二次段考文数学卷(解析版) 题型:填空题

若复数满足,则复数的模为________.

查看答案和解析>>

科目:高中数学 来源:2016届辽宁大连八中、二十四中高三联合模拟理数学试卷(解析版) 题型:解答题

已知椭圆是离心率为,顶点,中心到直线的距离为.

(1)求椭圆方程;

(2)设椭圆上一动点满足:,其中是椭圆上的点,直线的斜率之积为,若为一动点,为两定点,求的值.

查看答案和解析>>

科目:高中数学 来源:2015-2016学年湖北省高二3月月考文科数学试卷(解析版) 题型:选择题

已知复数z满足,那么z的共轭复数在复平面上对应的点位于 ( )

A.第一象限 B.第二象限 C.第三象限 D.第四象限

查看答案和解析>>

同步练习册答案