精英家教网 > 高中数学 > 题目详情

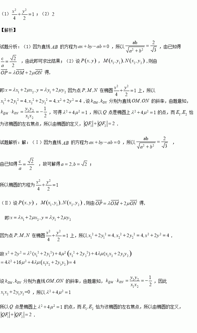
已知椭圆是离心率为,顶点,中心到直线的距离为.

(1)求椭圆方程;

(2)设椭圆上一动点满足:,其中是椭圆上的点,直线的斜率之积为,若为一动点,为两定点,求的值.

练习册系列答案
相关习题

科目:高中数学 来源:2015-2016学年黑龙江省高二下期中文数学试卷(解析版) 题型:解答题

已知函数.

(1)讨论的单调性;

(2)若上恒成立,求所有实数的值;

查看答案和解析>>

科目:高中数学 来源:2015-2016学年黑龙江省高二下期中理数学试卷(解析版) 题型:选择题

已知函数,则的值为( )

A. B. C. D.

查看答案和解析>>

科目:高中数学 来源:2015-2016学年黑龙江大庆一中高二下第二次段考文数学卷(解析版) 题型:选择题

下面是一段演绎推理:

大前提:如果直线平行于平面,则这条直线平行于平面内的所有直线;

小前提:已知直线b∥平面α,直线a?平面α; 结论:所以直线b∥直线a.

在这个推理中( )

A.大前提错误,结论错误 B.小前提与结论都是错误的

C.大、小前提正确,只有结论错误 D.大前提正确,结论错误

查看答案和解析>>

科目:高中数学 来源:2015-2016学年黑龙江大庆一中高二下第二次段考文数学卷(解析版) 题型:选择题

复数的虚部为( )

A.2 B.1 C.-1 D.-i

查看答案和解析>>

科目:高中数学 来源:2016届辽宁大连八中、二十四中高三联合模拟理数学试卷(解析版) 题型:填空题

已知正三角形边长为2,将它沿高翻折,使点与点间的距离为,此时四面体的外接球的表面积为 .

查看答案和解析>>

科目:高中数学 来源:2016届辽宁大连八中、二十四中高三联合模拟理数学试卷(解析版) 题型:选择题

某几何体的三视图如图所示,其中俯视图中圆的直径为4,该几何体的表面积为( )

A. B. C. D.

查看答案和解析>>

科目:高中数学 来源:2015-2016学年湖北省高二3月月考文科数学试卷(解析版) 题型:填空题

在平面直角坐标系中,若不等式组为常数)表示的平面区域的面积是16,若中任意一点,则目标函数的最大值为___________.

查看答案和解析>>

科目:高中数学 来源:2015-2016学年贵州省高一下期中数学试卷(解析版) 题型:填空题

函数 的定义域为 .

查看答案和解析>>

同步练习册答案