精英家教网 > 高中数学 > 题目详情

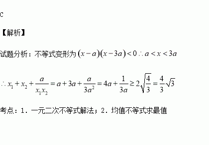
已知关于x的不等式x2-4ax+3a2<0(a>0)的解集为(x1,x2),则x1+x2+的最小值是( )

A. B. C. D.

练习册系列答案
相关习题

科目:高中数学 来源:2016届四川省高三上学期10月段考理科数学试卷(解析版) 题型:填空题

己知函数f(x)-2 sin ωx(ω>0)在区间上的最小值是-2,则ω的最小值为

查看答案和解析>>

科目:高中数学 来源:2016届湖北省、宜昌一中高三10月联考理科数学试卷(解析版) 题型:选择题

= ( )

A. B. C. D.

查看答案和解析>>

科目:高中数学 来源:2016届江苏省高三九月月考数学试卷(解析版) 题型:填空题

已知是定义在上的奇函数,当时,,函数.如果对于,使得,则实数的取值范围是

查看答案和解析>>

科目:高中数学 来源:2015-2016学年内蒙古赤峰平煤高中高二上学期月考数学试卷(解析版) 题型:选择题

的最大公约数是( ).

A.3 B.9 C.17 D.51

查看答案和解析>>

科目:高中数学 来源:2015-2016学年江西省高二上学期第一次月考数学试卷(解析版) 题型:选择题

已知正四面体(所有的棱都相等的正三棱锥)ABCD中,E是AB的中点,则异面直线CE与BD所成角的余弦值为( )

A. B. C. D.

查看答案和解析>>

科目:高中数学 来源:2015-2016学年江西省南昌市高一上学期第一次月考数学试卷(解析版) 题型:选择题

函数上为减函数,则实数的取值范围是( )

A. B. C. D.

查看答案和解析>>

科目:高中数学 来源:2015-2016学年吉林省长春市高一上学期期初考试理科数学试卷(解析版) 题型:解答题

(10分)已知,若,求的值

查看答案和解析>>

科目:高中数学 来源:2015-2016学年广东省高二上学期第一次月考理科数学卷(解析版) 题型:选择题

三个数390, 455, 546的最大公约数是 ( )

A.65 B.91 C.26 D.13

查看答案和解析>>

同步练习册答案