精英家教网 > 高中数学 > 题目详情

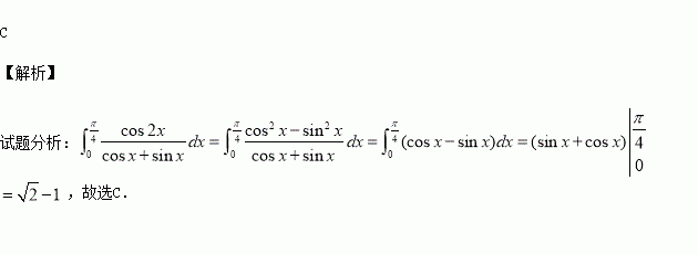
= ( )

A. B. C. D.

练习册系列答案
相关习题

科目:高中数学 来源:2014-2015学年广东省揭阳市高一下学期第二次段考理科数学试卷(解析版) 题型:解答题

(本小题满分14分)已知半径为2,圆心在直线上的圆C.

(Ⅰ)当圆C经过点A(2,2)且与轴相切时,求圆C的方程;

(Ⅱ)已知E(1,1),F(1,-3),若圆C上存在点Q,使,求圆心的横坐标的取值范围.

查看答案和解析>>

科目:高中数学 来源:2016届宁夏银川一中高三上学期第三次月考理科数学试卷(解析版) 题型:选择题

已知函数的周期为4,且当时, 其中.若方程恰有5个实数解,则的取值范围为 ( )

A. B. C. D.

查看答案和解析>>

科目:高中数学 来源:2016届湖北武汉华中师大第一附中高三上期中考试理科数学试卷(解析版) 题型:选择题

函数的图象如图所示,为了得到的图象,可以将的图象( )

A.向右平移个单位长度

B.向右平移个单位长度

C.向左平移个单位长度

D.向左平移个单位长度

查看答案和解析>>

科目:高中数学 来源:2016届湖北省、宜昌一中高三10月联考文科数学试卷(解析版) 题型:选择题

已知等差数列满足,则=( )

A. B. C. D.

查看答案和解析>>

科目:高中数学 来源:2015-2016学年甘肃省高一上学期期中数学试卷(解析版) 题型:选择题

已知是定义在上的奇函数,对任意,都有,若,则等于( )

A.2 012 B.2 C.2 013 D.-2

查看答案和解析>>

科目:高中数学 来源:2016届浙江省瑞安市高三上学期第一次四校联考理科数学试卷(解析版) 题型:解答题

(本题满分12分)在△ABC中,a、b、c分别是角A、B、C的对边,且

(Ⅰ)求角B的大小;

(Ⅱ)若,求△ABC的面积.

查看答案和解析>>

科目:高中数学 来源:2015-2016学年辽宁师范大学附属中学高二10月月考数学试卷(解析版) 题型:选择题

已知关于x的不等式x2-4ax+3a2<0(a>0)的解集为(x1,x2),则x1+x2+的最小值是( )

A. B. C. D.

查看答案和解析>>

科目:高中数学 来源:2015-2016学年广东省普宁市高一上学期第一次月考数学试卷(解析版) 题型:解答题

(15分)在平面直角坐标系xOy中,点A(-1,-2)、B(2,3)、C(-2,-1).

(1)求以线段AB、AC为邻边的平行四边形的两条对角线的长;

(2)设实数t满足(-t)·=0,求t的值

查看答案和解析>>

同步练习册答案