精英家教网 > 高中数学 > 题目详情

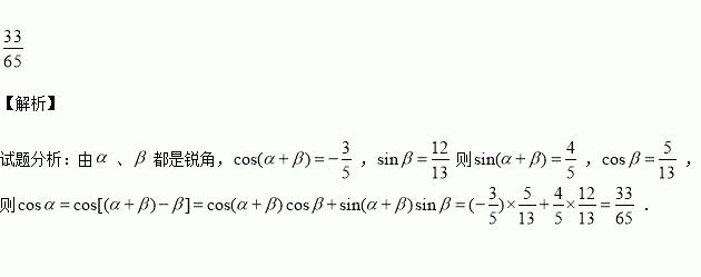
已知都是锐角,且,则_____________.

练习册系列答案
相关习题

科目:高中数学 来源:2016-2017学年河北冀州市高二上月考二文数学试卷(解析版) 题型:选择题

已知三棱锥的三视图如图所示,则它的体积为( )

A. B. C. D.

查看答案和解析>>

科目:高中数学 来源:2015-2016学年湖南衡阳县四中高一下期期末数学试卷(解析版) 题型:解答题

已知函数(其中),求:

(1)函数的最小正周期;

(2)函数的单调区间;

查看答案和解析>>

科目:高中数学 来源:2015-2016学年湖南衡阳县四中高一下期期末数学试卷(解析版) 题型:选择题

某公司现有职员160人,中级管理人员30人,高级管理人员10人,要从其中抽取20个人进行身体健康检查,如果采用分层抽样的方法,则职员、中级管理人员和高级管理人员各应该抽取多少人

A.8,15,7 B.16,2,2 C.16,3,1 D.12,3,5

查看答案和解析>>

科目:高中数学 来源:2017届重庆市高三上学期入学考试数学(理)试卷(解析版) 题型:解答题

分别是轴,轴上的动点,在直线上,且

(1)求点的轨迹的方程;

(2)已知上定点及动点满足,试证:直线必过轴上的定点.

查看答案和解析>>

科目:高中数学 来源:2017届重庆市高三上学期入学考试数学(理)试卷(解析版) 题型:选择题

已知函数的零点分别为,则( )

A. B. C. D.

查看答案和解析>>

科目:高中数学 来源:2017届重庆市高三上学期入学考试数学(理)试卷(解析版) 题型:选择题

已知△ABC中,,则( )

A. B. C. D.

查看答案和解析>>

科目:高中数学 来源:2017届河南息县第一高级中学高三上阶段测三数学(文)试卷(解析版) 题型:选择题

执行如图所示的程序框图,如果输入的,则输出的等于( )

A.19 B.24 C.30 D.37

查看答案和解析>>

科目:高中数学 来源:2017届河北衡水中学高三上学期一调考试数学(理)试卷(解析版) 题型:填空题

定义在上的函数满足:,当时,,则不等式的解集为_________.

查看答案和解析>>

同步练习册答案