精英家教网 > 高中数学 > 题目详情
已知数列{an}中,a1=1,a2=2,an+1=2an+3an-1(n≥2且n∈N*).
(I)证明数列{an+an+1}是等比数列;
(II)求a1+a2+…an(n∈N*
【答案】分析:(I)利用a1=1,a2=2,an+1=2an+3an-1,推出是常数,即可证明数列{an+an+1}是等比数列;
(II)利用(I)推出an+1+an=3n,然后说明数列{an+1-3an}是以-1为首项,公比为-1的等比数列,求出an+1-3an=(-1)n,解出an,然后求a1+a2+…an(n∈N*
解答:解:(I)证明:因为an+1=2an+3an-1,所以an+1+an=3(an+an-1),
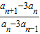
所以=3是常数,
所以数列{an+an+1}是以a1+a2=3为首项,等比为3的等比数列;
(II)由(Ⅰ)得an+1+an=3n,…①,
又an+1=2an+3an-1(n≥2且n∈N*).
得an+1-3an=-(an-3an-1),(n≥2且n∈N*).
=-1,常数,
所以数列{an+1-3an}是以-1为首项,公比为-1的等比数列,
an+1-3an=(-1)n,…②,
解①②得,an=
∴a1+a2+…an=(31+32+33+…+3n)-[(-1)+(-1)2+(-1)3+…+(-1)n]
=   (n∈N*).
点评:本题考查等比数列的判断,数列通项公式的求法,考查转化思想,计算能力.
练习册系列答案
相关习题

科目:高中数学 来源: 题型:

已知数列{an}中,a1=1,an+1-an=
1
3n+1
(n∈N*)
,则
lim
n→∞
an
=
 

查看答案和解析>>

科目:高中数学 来源: 题型:

已知数列{an}中,a1=1,an+1=
an
1+2an
,则{an}的通项公式an=
1
2n-1
1
2n-1

查看答案和解析>>

科目:高中数学 来源: 题型:

已知数列{an}中,a1=1,a1+2a2+3a3+…+nan=
n+1
2
an+1(n∈N*)

(1)求数列{an}的通项公式;
(2)求数列{
2n
an
}
的前n项和Tn

查看答案和解析>>

科目:高中数学 来源: 题型:

已知数列{an}中,a1=
1
2
Sn
为数列的前n项和,且Sn
1
an
的一个等比中项为n(n∈N*
),则
lim
n→∞
Sn
=
1
1

查看答案和解析>>

科目:高中数学 来源: 题型:

已知数列{an}中,a1=1,2nan+1=(n+1)an,则数列{an}的通项公式为(  )
A、
n
2n
B、
n
2n-1
C、
n
2n-1
D、
n+1
2n

查看答案和解析>>

同步练习册答案