精英家教网 > 高中数学 > 题目详情

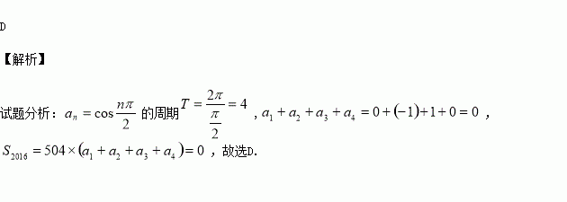
数列的通项公式为,其前项和为,则( )

A. B. C. D.

练习册系列答案
相关习题

科目:高中数学 来源:2015-2016学年福建省高二下期初考试理科数学试卷(解析版) 题型:选择题

椭圆满足这样的光学性质:从椭圆的一个焦点发射的光线,经椭圆反射后,反射光线经过椭圆的另一个焦点.现有一个水平放置的椭圆形台球盘,满足方程,点是它的两个焦点.当静止的小球从点开始出发,沿直线运动,经椭圆壁反射后再回到点时,此时小球经过的路程可能是 ( )

A.32或4或 B.或28或

C.28或4或 D.32或28或4

查看答案和解析>>

科目:高中数学 来源:2015-2016学年福建省四地六校高一下学期第一次联考数学试卷(解析版) 题型:填空题

已知四棱椎的底面是边长为6的正方形,且该四棱椎的体积为96,则点到面的距离是

查看答案和解析>>

科目:高中数学 来源:2015-2016学年重庆市高一4月月考数学试卷(解析版) 题型:解答题

已知向量,且.

(Ⅰ)求的单调递增区间;

(Ⅱ)若函数在区间上有零点,求的取值范围.

查看答案和解析>>

科目:高中数学 来源:2015-2016学年重庆市高一4月月考数学试卷(解析版) 题型:选择题

设向量,其中为实数.若,则的取值范围为( )

A. B. C. D.

查看答案和解析>>

科目:高中数学 来源:2015-2016学年重庆市高一4月月考数学试卷(解析版) 题型:选择题

在等差数列中,,则公差等于( )

A. B.0 C. D.

查看答案和解析>>

科目:高中数学 来源:2015-2016学年青海西宁四中高一下第一次月考数学试卷(解析版) 题型:解答题

已知在等比数列中,,且的等差中项.

(Ⅰ)求数列的通项公式;

(Ⅱ)若数列满足,求的前项和

查看答案和解析>>

科目:高中数学 来源:2015-2016学年河北冀州中学高一下首次月考理科数学卷(解析版) 题型:解答题

已知.

(1)若方程有三个解,试求实数的取值范围;

(2)是否存在实数,使函数的定义域与值域均为?若存在,求出所有的区间,若不存在,说明理由.

查看答案和解析>>

科目:高中数学 来源:2016届江西省九江市高三下学期三模理科数学试卷(解析版) 题型:选择题

高中数学联赛期间,某宾馆随机安排五名男生入住个标间(每个标间至多住人),则入住同一标间的概率为( )

A. B. C. D.

查看答案和解析>>

同步练习册答案