精英家教网 > 高中数学 > 题目详情

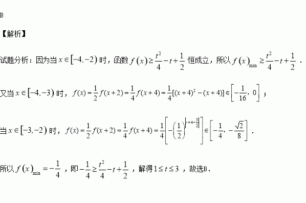
定义域为的函数满足,当时,,若当时,函数恒成立,则实数的取值范围为( )

A. B. C. D.

练习册系列答案
相关习题

科目:高中数学 来源:2015-2016学年江西省吉安市高一上学期期中数学试卷(解析版) 题型:选择题

已知函数对任意的都有,且当时,,则函数的大致图象为( )

查看答案和解析>>

科目:高中数学 来源:2015-2016学年广东广州执信中学高一上学期期中数学试卷(解析版) 题型:选择题

函数的单调递减区间是( )

A. B. C. D.

查看答案和解析>>

科目:高中数学 来源:2016届江西省高三上第三次考试理科数学试卷(解析版) 题型:填空题

均为非零向量,且,则的夹角为

查看答案和解析>>

科目:高中数学 来源:2016届黑龙江牡丹江一中高三10月月考文数学试卷(解析版) 题型:选择题

若函数的导函数,则使得函数单调递减的一个充分不必要条件是∈( )

A.[2,4] B.[2,3] C.[0,1] D.[3,5]

查看答案和解析>>

科目:高中数学 来源:2016届广东省广州市高三上学期期中文科数学试卷(解析版) 题型:解答题

中,角A、B、C所对的边分别为,且满足

(1) 求角A的大小;

(2)若,求周长的最大值。

查看答案和解析>>

科目:高中数学 来源:2015-2016学年重庆市高一上学期期中数学试卷(解析版) 题型:填空题

将函数的图象向上平移1个单位,再向右平移2个单位后得到函数,那么的表达式为__________.

查看答案和解析>>

科目:高中数学 来源:2015-2016学年吉林长春十一中高一上学期期中文科数学卷(解析版) 题型:选择题

已知,则tan=( )

A. B. C. D.

查看答案和解析>>

科目:高中数学 来源:2015-2016学年江苏省高邮市高一上学期期中调研数学试卷(解析版) 题型:填空题

已知,则的大小关系为 .(用“<”连结)

查看答案和解析>>

同步练习册答案