精英家教网 > 高中数学 > 题目详情

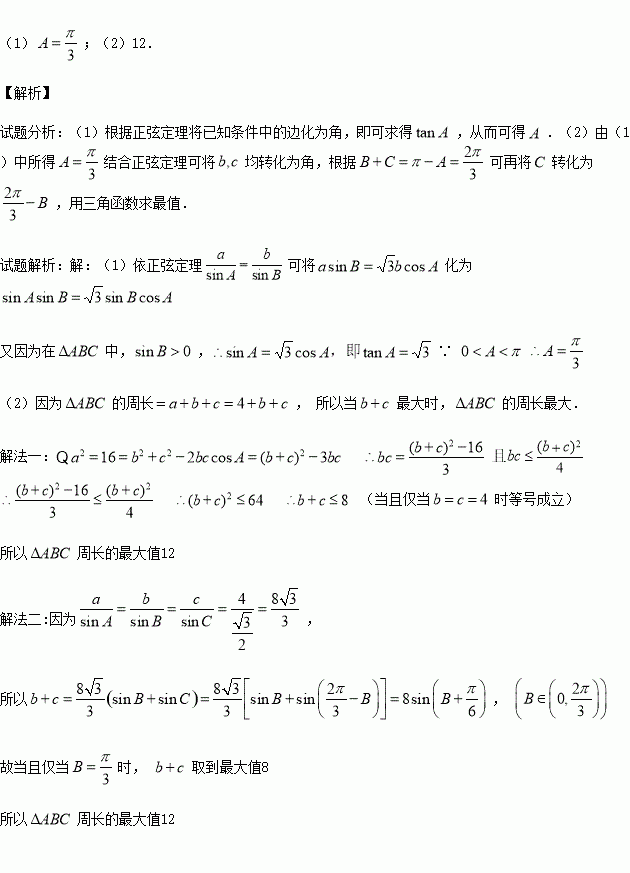
中,角A、B、C所对的边分别为,且满足

(1) 求角A的大小;

(2)若,求周长的最大值。

练习册系列答案
相关习题

科目:高中数学 来源:2015-2016学年江苏省高一创新班上期中数学试卷(解析版) 题型:填空题

若函数的定义域为,值域为,则实数的取值范围为

查看答案和解析>>

科目:高中数学 来源:2015-2016学年安徽省蚌埠市高一上学期期中数学试卷(解析版) 题型:填空题

已知函数,则

查看答案和解析>>

科目:高中数学 来源:2016届黑龙江牡丹江一中高三10月月考文数学试卷(解析版) 题型:解答题

已知函数).

(1)求的最小正周期;

(2)求函数在区间上的取值范围.

查看答案和解析>>

科目:高中数学 来源:2016届贵州省高三上学期第三次月考理科数学试卷(解析版) 题型:选择题

定义域为的函数满足,当时,,若当时,函数恒成立,则实数的取值范围为( )

A. B. C. D.

查看答案和解析>>

科目:高中数学 来源:2015-2016学年重庆市高一上学期期中数学试卷(解析版) 题型:解答题

集合,且实数

(1)证明:若,则

(2)是否存在实数满足?若存在,求出的值,不存在说明理由.

查看答案和解析>>

科目:高中数学 来源:2015-2016学年浙江慈溪中学高一1-3班上期中数学卷(解析版) 题型:填空题

已知函数,则的递增区间为______,函数的零点个数为________个

查看答案和解析>>

科目:高中数学 来源:2015-2016学年湖南衡阳八中高二上学期期中文科数学试卷(解析版) 题型:选择题

,则的最大值是( )

A、3 B、 C、 D、-1

查看答案和解析>>

科目:高中数学 来源:2015-2016学年吉林省扶余市高一上学期期中考试数学试卷(解析版) 题型:选择题

若当时,函数,且),满足,则函数的图象大致是

查看答案和解析>>

同步练习册答案