精英家教网 > 高中数学 > 题目详情

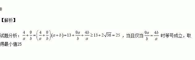
已知均为正数,且,则的最小值为( )

A.24 B.25 C.26 D.27

练习册系列答案
相关习题

科目:高中数学 来源:2016-2017学年辽宁六校协作体高二期初考试数学试卷(解析版) 题型:填空题

_______.

查看答案和解析>>

科目:高中数学 来源:2015-2016学年广东汕头市高二下学期期末数学(文)试卷(解析版) 题型:解答题

某校对高三部分学生的数学质检成绩做相应分析.

(1)按一定比例分层抽样抽取了20名学生的数学成绩,并用茎叶图记录,但部分数据不小心丢失了.已知数学成绩在[70,90)的频率是0.2,请补全下表并绘制相应频率分布直方图.

(2)为考察学生的物理成绩与数学成绩是否有关系,抽取了部分同学的数学成绩与物理成绩进行比较,得到统计数据如下:

物理成绩优秀

物理成绩一般

合计

数学成绩优秀

15

3

18

数学成绩一般

5

17

22

合计

20

20

40

能够有多大的把握认为物理成绩优秀与数学成绩优秀有关系?

附:

P(K2≥K0)

0.05

0.01

0.005

0.001

3.841

6.635

7.879

10.828

查看答案和解析>>

科目:高中数学 来源:2015-2016学年广东汕头市高二下学期期末数学(文)试卷(解析版) 题型:选择题

已知集合,则

A. B. C. D.

查看答案和解析>>

科目:高中数学 来源:2015-2016学年广东汕头市高一下学期期末数学试卷(解析版) 题型:填空题

定义一种运算,令,则函数的最大值是

查看答案和解析>>

科目:高中数学 来源:2015-2016学年广东汕头市高一下学期期末数学试卷(解析版) 题型:选择题

某学校数学兴趣班共有14人,分为两个小组,在一次阶段考试中两个小组成绩的茎叶图

如图所示,其中甲组学生成绩的平均数是88,乙组学生成绩的中位数是89,则的值是( )

A.10 B.11 C.12 D.13

查看答案和解析>>

科目:高中数学 来源:2016届陕西黄陵中学高三下二模考试数学(理)试卷(解析版) 题型:解答题

选修4-4:坐标系与参数方程

在直角坐标系中,以原点为极点,轴的正半轴为极轴建立极坐标系,曲线,过点的直线的参数方程为为参数),分别交于.

(Ⅰ)写出的平面直角坐标系方程和的普通方程;

(Ⅱ)若成等比数列,求的值.

查看答案和解析>>

科目:高中数学 来源:2016届陕西黄陵中学高三下二模考试数学(理)试卷(解析版) 题型:选择题

已知条件;条件直线与圆相切,则的( )

A.充分必要条件 B.必要不充分条件

C.充分不必要条件 D.既不充分也不必要条件

查看答案和解析>>

科目:高中数学 来源:2016届浙江稽阳联谊学校高三4月联考数学(文)试卷(解析版) 题型:填空题

在不等式组确定的平面区域中,若的最大值为9,则的值为

查看答案和解析>>

同步练习册答案