精英家教网 > 高中数学 > 题目详情
如图,空间四边形ABCD的对棱AD、BC成60°的角,且AD=BC=a,平行于AD与BC的截面分别交AB、AC、CD、BD于E、F、G、H.
(1)求证:四边形EFGH为平行四边形;
(2)E在AB的何处时截面EGFH的面积最大?最大面积是多少?

(1)证明:∵BC∥平面EFGH,BC平面ABC,平面ABC∩平面EFGH=EF,
∴BC∥EF,同理BC∥GH,
∴EF∥GH,同理EH∥FG,
∴四边形EGFH为平行四边形.
(2)解:∵AD与BC成60°角,
∴∠HGF=60°或120°,
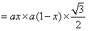
设AE:AB=x,∵,BC=a,
∴EF=ax,由,得EH=a(1-x),


时,
即当E为AB的中点时,截面的面积最大,最大面积为
练习册系列答案
相关习题

科目:高中数学 来源: 题型:

精英家教网如图,空间四边形ABCD中,M、G分别是BC、CD的中点,则
AB
+
1
2
BC
+
1
2
BD
等(  )
A、
AD
B、
GA
C、
AG
D、
MG

查看答案和解析>>

科目:高中数学 来源: 题型:

如图,空间四边形ABCD的对棱AD、BC成60°的角,且AD=BC=4,平行于AD与BC的截面分别交AB、AC、CD、BD于E、F、G、H.
(1)求证:四边形EFGH为平行四边形;
(2)E在AB的何处时截面EFGH的面积最大?最大面积是多少?

查看答案和解析>>

科目:高中数学 来源: 题型:

精英家教网如图,空间四边形ABCD中,E,F,G,H分别是AB,BC,CD,DA的中点.
(1)求证:四边形EGGH是平行四边形.
(2)求证:EF∥平面ADC.

查看答案和解析>>

科目:高中数学 来源: 题型:

如图,空间四边形ABCD中,AB、BC、CD的中点分别是P、Q、R,且PQ=
3
,QR=1,PR=2
,那么异面直线BD和PR所成的角是(  )

查看答案和解析>>

科目:高中数学 来源: 题型:

如图,空间四边形ABCD中,E、F分别是AB、AD的中点,G、H分别在BC、CD上,且BG:GC=DH:HC=1:2
(1)求证:E、F、G、H四点共面.
(2)设EG与HF交于点P,求证:P、A、C三点共线.

查看答案和解析>>

同步练习册答案