精英家教网 > 高中数学 > 题目详情

(本小题满分8分)

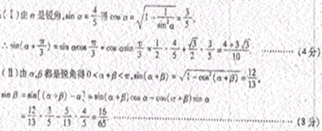
已知都是锐角,

(Ⅰ)求的值

(Ⅱ)求的值

 

【答案】

 

【解析】略         

 

练习册系列答案
相关习题

科目:高中数学 来源:2010-2011年安徽省合肥一中高一第二学期期中考试数学 题型:解答题

本小题满分8分)
在数列中,
(1)设,证明:数列是等差数列;
(2)求数列的前项和.

查看答案和解析>>

科目:高中数学 来源:2015届浙江宁波金兰合作组织高一上学期期中联考数学试卷(解析版) 题型:解答题

(本小题满分8分)

已知集合 , .若,求实数的取值范围.

 

查看答案和解析>>

科目:高中数学 来源:2013届湖南省高二下期中数学试卷(解析版) 题型:解答题

(本小题满分8分)已知数列是首项为1,公比为2的等比数列,数列的前项和

(1)求数列的通项公式;(2)求数列的前项和.

 

查看答案和解析>>

科目:高中数学 来源:2011年浙江省苍南县三校高二上学期期中考试数学理卷 题型:解答题

(本小题满分8分)

如图,一个圆锥形的空杯子上面放着一个半球形的冰淇淋,如果冰淇淋融化了,冰淇淋会从杯子溢出吗?请用你的计算数据说明理由.

_

 
 

 

查看答案和解析>>

科目:高中数学 来源:2010年山东省济宁二中高一下学期期中考试数学 题型:解答题

(本小题满分8分)已知,,当为何值时,
(1) 垂直?
(2) 平行?平行时它们是同向还是反向?

查看答案和解析>>

同步练习册答案