精英家教网 > 高中数学 > 题目详情

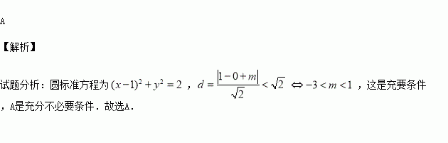
直线与圆有两个不同交点的一个充分不必要条件是( )

A. B. C. D.

练习册系列答案
相关习题

科目:高中数学 来源:2015-2016学年辽宁沈阳二中高二6月月考文科数学试卷(解析版) 题型:填空题

已知O是锐角的外接圆圆心,,则m的值_________.

查看答案和解析>>

科目:高中数学 来源:2015-2016学年辽宁大连师大附中高一下6月月考数学试卷(解析版) 题型:填空题

若函数在区间上的最小值是,则的最小值为_________.

查看答案和解析>>

科目:高中数学 来源:2015-2016学年贵州遵义一中高二下联考文科数学试卷(解析版) 题型:解答题

如图,椭圆经过点,离心率,直线的方程为.

(1)求椭圆的方程;

(2)设过椭圆右焦点的直线与直线相交于点,记直线的斜率分别为,问:是否存在常数,使得?若存在,求的值;若不存在,请说明理由.

查看答案和解析>>

科目:高中数学 来源:2015-2016学年贵州遵义一中高二下联考文科数学试卷(解析版) 题型:填空题

已知变量满足约束条件,则的最大值为_________.

查看答案和解析>>

科目:高中数学 来源:2015-2016学年贵州遵义一中高二下联考文科数学试卷(解析版) 题型:选择题

已知,若,则函数图象的一条对称轴直线是( )

A. B. C. D.

查看答案和解析>>

科目:高中数学 来源:2016届吉林大学附中高三第二次模拟文科数学试卷(解析版) 题型:解答题

已知函数,g(x)aln xx(a0).

(Ⅰ)求函数f (x)的单调区间;

(Ⅱ)证明:当a > 0时,对于任意x1,x2∈(0,e],总有g(x1) < f (x2)成立,其中是自然对数的底数.

查看答案和解析>>

科目:高中数学 来源:2016届吉林大学附中高三第二次模拟文科数学试卷(解析版) 题型:选择题

在区间上随机取一个数,使直线与圆相交的概率为( )

(A) (B) (C) (D)

查看答案和解析>>

科目:高中数学 来源:2016届吉林省高三高考热身考试文科数学试卷(解析版) 题型:选择题

已知,则( )

A. B. C. D.

查看答案和解析>>

同步练习册答案