精英家教网 > 高中数学 > 题目详情
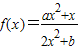
已知为奇函数(a,b是常数),且函数f(x)的图象过点
(1)求f(x)的表达式;
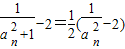
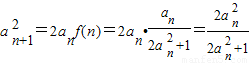
(2)定义正数数列{an},,求数列{an2}的通项公式;
(3)已知,设Sn为bn的前n项和,证明:
【答案】分析:(1)根据所给的函数是一个奇函数,根据奇函数的定义,得到a的值,根据函数过一个定点,把点的坐标代入,利用待定系数法得到结果.
(2)根据条件写出数列的递推式,下面整理数列,通过配凑整理出数列是以2为首项,为公比的等比数列,写出数列通项,变形整理出结果.
(3)根据条件写出新数列的通项,观察新数列分母的结构,整理出可以应用裂项的方法来解题,用裂项做出数列的前n项和,利用分析法写出要证的不等式.
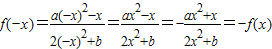
解答:解:(1)为奇函数

∴a=0
又f(x)过点
,∴b=1

(2)∵

∴数列是以2为首项,为公比的等比数列              

(3)由(2)知:



点评:本题考查数列和函数的综合,本题解题的关键是构造正确的新函数,判断出所给的数列是一个特殊的数列,本题是一个可以作为压轴题目出现的题目.
练习册系列答案
相关习题

科目:高中数学 来源: 题型:

已知f(x)=
ax2+x
2x2+b
为奇函数(a,b是常数),且函数f(x)的图象过点(1,
1
3
)

(1)求f(x)的表达式;
(2)定义正数数列{an},a1=
1
2
a
2
n+1
=2anf(an)(n∈N*)
,求数列{an2}的通项公式;
(3)已知b&n=
a
2
n
a
2
n+1
2n-2
,设Sn为bn的前n项和,证明:
1
6
Sn
1
2

查看答案和解析>>

科目:高中数学 来源: 题型:

已知为奇函数,则的一个取值  (      )   

A.0                         B.π                   C.        D.

查看答案和解析>>

科目:高中数学 来源: 题型:解答题

已知数学公式为奇函数(a,b是常数),且函数f(x)的图象过点数学公式
(1)求f(x)的表达式;
(2)定义正数数列{an},数学公式,求数列{an2}的通项公式;
(3)已知数学公式,设Sn为bn的前n项和,证明:数学公式

查看答案和解析>>

科目:高中数学 来源:2011年四川省遂宁二中尖子班高考强化训练数学试卷(文科)(解析版) 题型:解答题

已知为奇函数(a,b是常数),且函数f(x)的图象过点
(1)求f(x)的表达式;
(2)定义正数数列{an},,求数列{an2}的通项公式;
(3)已知,设Sn为bn的前n项和,证明:

查看答案和解析>>

同步练习册答案