精英家教网 > 高中数学 > 题目详情

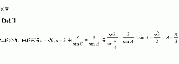
在锐角△中,,则=

练习册系列答案
相关习题

科目:高中数学 来源:2015-2016学年湖北省黄石市高二下期中文科数学试卷(解析版) 题型:解答题

某数学教师对所任教的两个班级各抽取20名学生进行测试,分数分布如右表:

(Ⅰ)若成绩120分以上(含120分)为优秀,求从乙班参加测试的90分以上(含90分)的同学中随机任取2名同学,恰有1人为优秀的概率;

(Ⅱ)根据以上数据完成下面的×列联表: 在犯错概率小于0.1的前提下,你是否有足够的把握认为学生的数学成绩是否优秀与班级有关系?

分数区间

甲班频率

乙班频率

0.1

0.2

0.2

0.2

0.3

0.3

0.2

0.2

0.2

0.1

其中

优秀

不优秀

总计

甲班

乙班

总计

查看答案和解析>>

科目:高中数学 来源:2015-2016学年湖北省襄阳市四校高一下学期期中联考数学试卷(解析版) 题型:解答题

阅读下面材料:

根据两角和与差的正弦公式,有

①,

由① + ② 得:

,有

代入③得:

(1)类比上述推理方法,根据两角和与差的余弦公式,证明:

(2)若△ABC的三个内角A、B、C满足,试判断△ABC的形状.

(提示:如果需要,也可以直接利用阅读材料及(1)中的结论).

查看答案和解析>>

科目:高中数学 来源:2015-2016学年湖北省襄阳市四校高一下学期期中联考数学试卷(解析版) 题型:选择题

若等差数列满足,则当=( )时,的前项和最大.

A.8 B.9 C.10 D.11

查看答案和解析>>

科目:高中数学 来源:2015-2016学年河南省高一下期中数学试卷(解析版) 题型:解答题

已知A、B、C为△ABC的三个内角,且其对边分别为a、b、c,若cosBcosC﹣sinBsinC=

(1)求角A;

(2)若a=2,b+c=4,求△ABC的面积.

查看答案和解析>>

科目:高中数学 来源:2015-2016学年河南省高一下期中数学试卷(解析版) 题型:选择题

设△ABC的内角A, B, C所对的边分别为a, b, c, 若, 则△ABC的形状为( )

A.锐角三角形 B.直角三角形 C.钝角三角形 D.不确定

查看答案和解析>>

科目:高中数学 来源:2015-2016学年河南省高一下期中数学试卷(解析版) 题型:选择题

在△ABC中,已知b2=ac且c=2a,则cos B等于( )

A. B. C. D.

查看答案和解析>>

科目:高中数学 来源:2015-2016学年广东省高一下第一次月考文科数学试卷(解析版) 题型:选择题

下列四个图各反映了两个变量的某种关系,其中可以看作具有较强线性相关关系的是( )

A.①③ B.①④ C.②③ D.①②

查看答案和解析>>

科目:高中数学 来源:2016届辽宁省锦州市高三下学期质量检测二文科数学试卷(解析版) 题型:填空题

的三边及面积满足,则

查看答案和解析>>

同步练习册答案