精英家教网 > 高中数学 > 题目详情

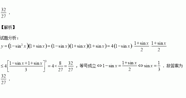
函数的最大值为_________.

练习册系列答案
相关习题

科目:高中数学 来源:2015-2016学年云南省高二4月月考理科数学卷(解析版) 题型:选择题

已知命题;命题,则下列判断正确的是( )

A.是假命题 B.是假命题

C.是真命题 D. 是真命题

查看答案和解析>>

科目:高中数学 来源:2016届江西省九江市高三下学期三模文科数学试卷(解析版) 题型:解答题

已知函数.

(1)求不等式的解集;

(2)若不等式对任意恒成立,求实数的取值范围.

查看答案和解析>>

科目:高中数学 来源:2016届江西省九江市高三下学期三模文科数学试卷(解析版) 题型:选择题

,将这五个数据依次输入下面程序框图进行计算,则输出的值是( )

A. B. C. D.

查看答案和解析>>

科目:高中数学 来源:2015-2016学年河北武邑中学高二下5.8周考文科数学卷(解析版) 题型:解答题

已知,求的最小值.

查看答案和解析>>

科目:高中数学 来源:2015-2016学年河北武邑中学高二下5.8周考文科数学卷(解析版) 题型:选择题

为正数,,则的最小值为( )

A. B. C.1 D.

查看答案和解析>>

科目:高中数学 来源:2015-2016学年河北武邑中学高二下5.8周考文科数学卷(解析版) 题型:选择题

,则函数的最小值为( )

A.16 B.8 C.4 D.非上述情况

查看答案和解析>>

科目:高中数学 来源:2015-2016学年河北武邑中学高二下5.8周考理科数学卷(解析版) 题型:选择题

两位学生一起去一家单位应聘,面试前,单位负责人对他们说:“我们要从面试的人中招聘3人,若每人被招聘的概率相同,则你们俩同时被招聘进来的概率是”.根据这位负责人的话,可以推断出参加面试的人数为( )

A.5 B.7 C.8 D.9

查看答案和解析>>

科目:高中数学 来源:2015-2016学年江西省高二下期中文科数学试卷(解析版) 题型:选择题

执行如图所示的程序框图,若输入的值为8,则输出的值为( )

A. 4 B. 8 C. 10 D. 12

查看答案和解析>>

同步练习册答案