精英家教网 > 高中数学 > 题目详情

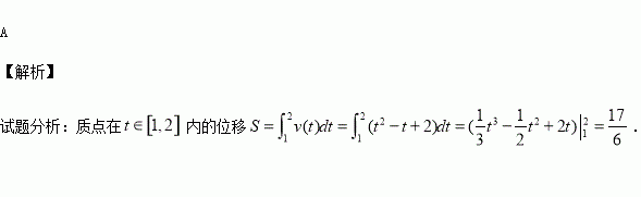
一质点运动的速度与时间的关系则质点在内的位移是( )

A. B. C. D.

练习册系列答案
相关习题

科目:高中数学 来源:2015-2016学年湖南长郡中学高一下期中数学试卷(解析版) 题型:填空题

如图所示,为水平方置的的直观图,其中,则的面积为

查看答案和解析>>

科目:高中数学 来源:2015-2016学年河北省高二4月月考文科数学试卷(解析版) 题型:填空题

查看答案和解析>>

科目:高中数学 来源:2015-2016学年河北省高二4月月考理科数学试卷(解析版) 题型:解答题

已知函数处都取得极值.

(1)求函数的解析式及单调区间;

(2)求函数在区间的最大值与最小值.

查看答案和解析>>

科目:高中数学 来源:2015-2016学年河北省高二4月月考理科数学试卷(解析版) 题型:选择题

定义在上的函数满足,当时,,函数,若,不等式成立,则实数的取值范围是( )

A. B. C. D.

查看答案和解析>>

科目:高中数学 来源:2015-2016学年河北省高二4月月考理科数学试卷(解析版) 题型:选择题

为可导函数,且满足,则函数处的导数为( )

A. B. C. D.以上答案都不对

查看答案和解析>>

科目:高中数学 来源:2015-2016学年山西省高二下期中文科数学试卷(解析版) 题型:解答题

中,,求证:.

查看答案和解析>>

科目:高中数学 来源:2015-2016学年山西省高二下期中理科数学试卷(解析版) 题型:解答题

已知函数为常数,是自然对数的底数),曲线在点处的切线与轴平行.

(1)求的单调区间;

(2)设,其中的导函数,证明:对任意.

查看答案和解析>>

科目:高中数学 来源:2015-2016学年河北省高二下期中文科数学试卷(解析版) 题型:选择题

双曲线的离心率为2,有一个焦点与抛物线的焦点重合,则的值为( )

A. B. C. D.

查看答案和解析>>

同步练习册答案