精英家教网 > 高中数学 > 题目详情

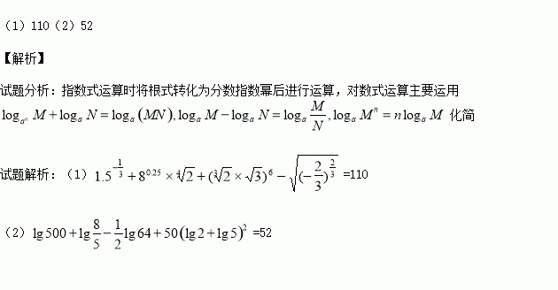
计算:

(1)

(2)

练习册系列答案
相关习题

科目:高中数学 来源:2016届黑龙江牡丹江一中高三10月月考文数学试卷(解析版) 题型:选择题

中,若,则是( )

A.等边三角形 B.锐角三角形 C.钝角三角形 D.直角三角形

查看答案和解析>>

科目:高中数学 来源:2015-2016学年湖南衡阳八中高二上学期期中文科数学试卷(解析版) 题型:选择题

已知椭圆的长轴长是短轴长的2倍,则椭圆的焦距与短轴长之比为( )

A、 B、 C、3 D、

查看答案和解析>>

科目:高中数学 来源:2015-2016学年河北省高一上学期期中数学试卷(解析版) 题型:选择题

函数的定义域为( )

A. B. C. D.

查看答案和解析>>

科目:高中数学 来源:2015-2016学年广东汕头市高二10月月考数学卷(解析版) 题型:填空题

已知正三棱锥V-ABC的正视图和俯视图如右上图所示,则该正三棱锥侧视图的面积是

查看答案和解析>>

科目:高中数学 来源:2015-2016学年江苏省高邮市高一上学期期中调研数学试卷(解析版) 题型:填空题

几位同学在研究函数时,给出了下面几个结论:

①函数的值域为

②若,则一定有

是增函数;

④若规定,则对任意恒成立.

上述结论中正确的个数有________个.

查看答案和解析>>

科目:高中数学 来源:2015-2016学年吉林省扶余市高一上学期期中考试数学试卷(解析版) 题型:选择题

设函数,则的值为

A. B. C. D.

查看答案和解析>>

科目:高中数学 来源:2016届四川省成都市高三11月段测三文科数学试卷(解析版) 题型:选择题

命题“∈N,x02 +2xo≥3”的否定为( )

A.∈N,x02 +2x0 ≤3

B.∈N ,x2 +2x≤3

C.∈N,x02 +2x0<3

D.∈N ,x2 +2x<3

查看答案和解析>>

科目:高中数学 来源:2015-2016学年安徽师大附中高二上学期期中文科数学试卷(解析版) 题型:选择题

已知点集

所构成平面区域的面积为( )

A. B. C. D.

查看答案和解析>>

同步练习册答案