精英家教网 > 高中数学 > 题目详情
设圆上的点A(2,3)关于直线x+2y=0的对称点仍在这个圆上,且与直线x-y+1=0相交的弦长为,求圆的方程。
解:设A关于直线x+2y=0的对称点为A',
由已知AA'为圆的弦,
∴AA'的对称轴x+2y=0过圆心,
设圆心P(-2aa),半径为R,
则R=|PA|=(-2a-2)2+(a-3)2
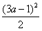
又弦长

∴4(a+1)2+(a-3)2=2+
a=-7或a=-3,
a=-7时,R=;当a=-3时,R=
∴所求圆方程为(x-6)2+(y+3)2=52或(x-14)2+(y+7)2=244。
练习册系列答案
相关习题

科目:高中数学 来源: 题型:

设圆上的点A(2,3)关于直线x+2y=0的对称点仍在圆上,且与直线x-y+1=0相交的弦长为2
2
,求圆的方程.

查看答案和解析>>

科目:高中数学 来源: 题型:

(1)求经过点A(5,2),B(3,2),圆心在直线2x-y-3=0上的圆的方程;
(2)设圆上的点A(2,3)关于直线x+2y=0的对称点仍在这个圆上,且与直线x-y+1=0相交的弦长为2
2
,求此圆的方程.

查看答案和解析>>

科目:高中数学 来源:0110 期末题 题型:解答题

设圆上的点A(2,3)关于直线x+2y=0的对称点仍在圆上,且直线x-y+1=0被圆截得的弦长为,求圆的方程.

查看答案和解析>>

科目:高中数学 来源: 题型:

(1)求经过点A(5,2),B(3,2),圆心在直线2x-y-3=0上的圆的方程;

(2)设圆上的点A(2,3)关于直线x+2y=0的对称点仍在这个圆上,且与直线x-y+1=0相交的弦长为,求圆方程.

查看答案和解析>>

科目:高中数学 来源:2009-2010学年安徽省芜湖一中高二(上)数学寒假作业(必修2)(解析版) 题型:解答题

设圆上的点A(2,3)关于直线x+2y=0的对称点仍在圆上,且与直线x-y+1=0相交的弦长为2,求圆的方程.

查看答案和解析>>

同步练习册答案