精英家教网 > 高中数学 > 题目详情

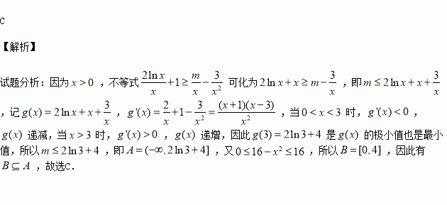
已知使关于的不等式对任意的恒成立的实数的取值集合为,函数的值域为,则有( )

A. B. C. D.

练习册系列答案
相关习题

科目:高中数学 来源:2017届河北衡水中学高三上学期第二次调研数学(文)试卷(解析版) 题型:填空题

如果直线轴正半轴,轴正半轴围成的四边形封闭区域(含边界)中的点,使函数的最大值为,则的最小值为

查看答案和解析>>

科目:高中数学 来源:2017届湖北黄冈中学高三上学期周末测试数学试卷(解析版) 题型:解答题

已知函数(x≠0,常数).

(1)讨论函数的奇偶性,并说明理由;

(2)若函数上为增函数,求的取值范围.

查看答案和解析>>

科目:高中数学 来源:2017届甘肃武威二中高三上学期月考一数学(理)试卷(解析版) 题型:解答题

某企业接到生产3000台某产品的三种部件的订单,每台产品需要这三种部件的数量分别为2,2,1(单位:件).已知每个工人每天可生产部件6件,或部件3件,或部件2件.该企业计划安排200名工人分成三组分别生产这三种部件,生产部件的人数与生产部件的人数成正比,比例系数为为正整数).

(1)设生产部件的人数为,分别写出完成三件部件生产需要的时间;

(2)假设这三种部件的生产同时开工,试确定正整数的值,使完成订单任务的时间最短,并给出时间最短时具体的人数分组方案.

查看答案和解析>>

科目:高中数学 来源:2017届甘肃武威二中高三上学期月考一数学(理)试卷(解析版) 题型:填空题

满足的所有点构成的图形的面积为____________.

查看答案和解析>>

科目:高中数学 来源:2017届甘肃武威二中高三上学期月考一数学(理)试卷(解析版) 题型:选择题

函数上的最小值为( )

A.0 B.1 C. D.

查看答案和解析>>

科目:高中数学 来源:2016届新疆乌鲁木齐八一中学高三上学期月考一数学(理)试卷(解析版) 题型:解答题

已知函数

(1)求函数的最大值,以及取到最大值时的的集合

(2)上恒成立,求实数的取值范围.

查看答案和解析>>

科目:高中数学 来源:2016届新疆乌鲁木齐八一中学高三上学期月考一数学(理)试卷(解析版) 题型:选择题

复数是虚数单位)的模等于( )

A. B. C. D

查看答案和解析>>

科目:高中数学 来源:2016-2017学年安徽六安一中高二上周末作业一理数学试卷(解析版) 题型:选择题

中,为锐角,,则为( )

A.等腰三角形 B.等边三角形

C.直角三角形 D.等腰直角三角形

查看答案和解析>>

同步练习册答案