精英家教网 > 高中数学 > 题目详情
已知数列{an}满足:a1=1且
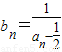
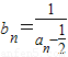
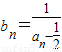
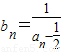
(1)若数列{bn}满足:,试证明数列bn-1是等比数列;
(2)求数列{anbn}的前n项和Sn
(3)数列{an-bn}是否存在最大项,如果存在求出,若不存在说明理由.
【答案】分析:(1)由.知数列{bn-1}是等比数列.
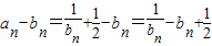
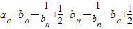
(2)由,得,知,由此知=
(3)由,得,∴、又由(2)知,,数列{bn}单调递增,所以数列an-bn为单调递减数列,由此知数列an-bn中存在最大项且为该数列中的首项,其值为-1.
解答:解:(1)∵
∴数列{bn-1}是等比数列,首项为,公比为
(2)由,得
由(1)得

=
(3)由,得

又由(2)知,
∴数列{bn}单调递增,∴与-bn均为递减数列、∴数列{an-bn}为单调递减数列,
∴当n=1时,a1-b1=1-2=-1最大,即数列{an-bn}中存在最大项且为该数列中的首项,其值为-1、
点评:本题考查数列的性质和应用,解题时要认真审题,仔细解答.
练习册系列答案
相关习题

科目:高中数学 来源: 题型:

已知数列{an}满足:a1=1且an+1=
3+4an
12-4an
, n∈N*

(1)若数列{bn}满足:bn=
1
an-
1
2
(n∈N*)
,试证明数列bn-1是等比数列;
(2)求数列{anbn}的前n项和Sn
(3)数列{an-bn}是否存在最大项,如果存在求出,若不存在说明理由.

查看答案和解析>>

科目:高中数学 来源: 题型:

已知数列{an}满足
1
2
a1+
1
22
a2+
1
23
a3+…+
1
2n
an=2n+1
则{an}的通项公式
 

查看答案和解析>>

科目:高中数学 来源: 题型:

已知数列{an}满足:a1=
3
2
,且an=
3nan-1
2an-1+n-1
(n≥2,n∈N*).
(1)求数列{an}的通项公式;
(2)证明:对于一切正整数n,不等式a1•a2•…an<2•n!

查看答案和解析>>

科目:高中数学 来源: 题型:

已知数列{an}满足an+1=|an-1|(n∈N*
(1)若a1=
54
,求an
(2)若a1=a∈(k,k+1),(k∈N*),求{an}的前3k项的和S3k(用k,a表示)

查看答案和解析>>

科目:高中数学 来源: 题型:

(2012•北京模拟)已知数列{an}满足an+1=an+2,且a1=1,那么它的通项公式an等于
2n-1
2n-1

查看答案和解析>>

同步练习册答案