精英家教网 > 高中数学 > 题目详情

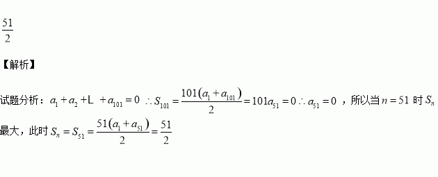
已知等差数列满足,则,则最大值为

练习册系列答案
相关习题

科目:高中数学 来源:2016届贵州省贵阳市高三上学期第三次月考文科数学试卷(解析版) 题型:选择题

已知复数为虚数单位),且,则复数( )

A. B. C. D.

查看答案和解析>>

科目:高中数学 来源:2015-2016学年湖北省高一上学期期中数学试卷(解析版) 题型:解答题

(本大题满分10分)已知函数

(1)求的值;

(2)若,求的最大值和最小值.

查看答案和解析>>

科目:高中数学 来源:2015-2016学年江西省南昌市高一上学期期中考试数学试卷(解析版) 题型:解答题

已知集合A={x | x+x-6=0},B={x | mx+1=0},若BA,求由实数m所构成的集合M.

查看答案和解析>>

科目:高中数学 来源:2015-2016学年甘肃省嘉峪关市高二上学期期中考试文科数学试卷(解析版) 题型:选择题

已知等差数列的前n项和为,且=( )

A.18 B.36 C.54 D.72

查看答案和解析>>

科目:高中数学 来源:2016届浙江宁波效实中学高三上期中考试文科数学试卷(解析版) 题型:填空题

求值

查看答案和解析>>

科目:高中数学 来源:2016届浙江宁波效实中学高三上期中考试理科数学试卷(解析版) 题型:选择题

已知正的顶点在平面上,顶点在平面的同一侧,的中点,若在平面上的射影是以为直角顶点的三角形,则直线与平面所成角的正弦值的范围是( )

A. B. C. D.

查看答案和解析>>

科目:高中数学 来源:2016届河南省原名校高三上学期第一次联考文科数学试卷(解析版) 题型:选择题

下列有关命题的说法错误的是( )

A.命题“若,则”的逆否命题为:“若,则

B.“”是“”的充分不必要条件

C.若集合中只有一个元素,则

D.对于命题,使得,则,均有

查看答案和解析>>

科目:高中数学 来源:2015-2016学年陕西省高二上学期期中考试数学试卷(解析版) 题型:解答题

(本小题12分)在△ABC中,BC=a,AC=b,a,b是方程的两个根,且

求:(1)角C的度数;(2)AB的长度。

查看答案和解析>>

同步练习册答案