精英家教网 > 高中数学 > 题目详情
已知满足ax•f(x)=2bx+f(x),a≠0,f(1)=1且使f(x)=2x成立的实数x有且只有一个.
(1)求f(x)的表达式;
(2)数列{an}满足:,证明:{bn}为等比数列.
(3)在(2)的条件下,若,求证:
【答案】分析:(1)由f(x)=,知,由此能求出f(x)的表达式.
(2)由bn+1=2bn,能够证明{bn}是首项为2,公比为2的等比数列.
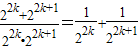
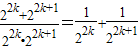
(3)由bn=2n,知Cn=,所以C2k+C2k+1=.由此能够证明Sn
解答:解:(1)∵f(x)=


(2)证明:∵

bn+1=2bn
∴{bn}是首项为2,公比为2的等比数列.
(3)∵bn=2n
∴Cn=
∴C2k+C2k+1=
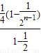
∴n为奇数时,Sn=C1+(C2+C3)+…+(Cn-1+Cn)<1+
=1+=
n为偶数时,Sn<Sn+1
综合以上,Sn
点评:本题考查函数与数列的综合应用,解题时要认真审题,注意挖掘题设中的隐含条件,合理地进行等价转化.
练习册系列答案
相关习题

科目:高中数学 来源:2010年湖北省武汉二中高一下学期期末考试数学试卷 题型:解答题

(本小题14分) 已知满足ax·f(x)=2bx+f(x), a≠0, f(1)=1且使成立的实数x有且只有一个.
(1)求的表达式;
(2)数列满足:, 证明:为等比数列.
(3)在(2)的条件下, , 求证:

查看答案和解析>>

科目:高中数学 来源:2010年湖北省高一下学期期末考试数学试卷 题型:解答题

(本小题14分) 已知满足ax·f(x)=2bx+f(x), a≠0, f(1)=1且使成立的实数x有且只有一个.

(1)求的表达式;

(2)数列满足:, 证明:为等比数列.

(3)在(2)的条件下, , 求证:

 

查看答案和解析>>

科目:高中数学 来源:2010-2011学年重庆市万州二中高二(上)期中数学试卷(解析版) 题型:解答题

已知满足ax•f(x)=2bx+f(x),a≠0,f(1)=1且使f(x)=2x成立的实数x有且只有一个.
(1)求f(x)的表达式;
(2)数列{an}满足:,证明:{bn}为等比数列.
(3)在(2)的条件下,若,求证:

查看答案和解析>>

科目:高中数学 来源:2009-2010学年湖北省武汉二中高一(下)期末数学试卷(解析版) 题型:解答题

已知满足ax•f(x)=2bx+f(x),a≠0,f(1)=1且使f(x)=2x成立的实数x有且只有一个.
(1)求f(x)的表达式;
(2)数列{an}满足:,证明:{bn}为等比数列.
(3)在(2)的条件下,若,求证:

查看答案和解析>>

同步练习册答案