精英家教网 > 高中数学 > 题目详情

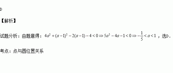
在圆的内部,则a的取值范围是( )

A. B.

C. D.

练习册系列答案
相关习题

科目:高中数学 来源:2016届江西省新余市高三第四次模拟考理科数学试卷(解析版) 题型:选择题

若实数满足不等式组.则的最大值是( )

A.10 B.11 C.13 D.14

查看答案和解析>>

科目:高中数学 来源:2015-2016学年江苏省沭阳县高二上学期期中考试数学试卷(解析版) 题型:填空题

下表是一个容量为60的样本(60名学生的数学考试成绩,成绩为0-100的整数)的频率分布表,则表中频率a的值为

分组

0.5~20.5

20.5~40.5

40.5~60.5

60.5~80.5

80.5~100.5

频数

3

6

12

频率

a

0.3

查看答案和解析>>

科目:高中数学 来源:2015-2016学年广东省汕头市高一上学期期中考试数学试卷(解析版) 题型:选择题

函数的零点所在的一个区间为

A. B. C. D.

查看答案和解析>>

科目:高中数学 来源:2015-2016年湖北武汉华中师大一附高二上期中文科数学卷(解析版) 题型:解答题

已知双曲线的焦距为2c,右顶点为A,抛物线的焦点为F,若双曲线截抛物线的准线所得线段长为2c,且,求双曲线的渐近线方程.

查看答案和解析>>

科目:高中数学 来源:2016上海复旦大学附中届高三上期中文科数学试卷(解析版) 题型:填空题

阅读下边的程序框图,如果输出的值在区间内,则输入的实数的取值范围是

查看答案和解析>>

科目:高中数学 来源:2016上海复旦大学附中届高三上期中理科数学试卷(解析版) 题型:填空题

若集合,则 .

查看答案和解析>>

科目:高中数学 来源:2015-2016学年吉林省高二11月月考理科数学卷(解析版) 题型:解答题

(本小题满分12分)

过椭圆的右焦点作斜率的直线交椭圆于两点,且

共线.

(Ⅰ)求椭圆的离心率;

(Ⅱ)设为椭圆上任意一点,且. 证明:为定值.

查看答案和解析>>

科目:高中数学 来源:2016届湖北武汉华中师大一附等高三上第一次联考文数学卷(解析版) 题型:解答题

选修4-4 极坐标与参数方程

已知曲线的极坐标方程为,曲线为参数).

(1)求曲线的普通方程;

(2)若点在曲线上运动,试求出到曲线的距离的最小值.

查看答案和解析>>

同步练习册答案