精英家教网 > 高中数学 > 题目详情

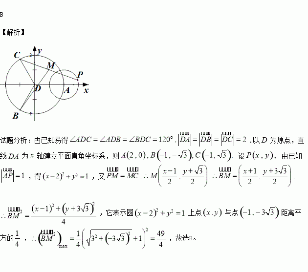
已知正三角形ABC的边长为,平面ABC内的动点P,M满足,,则的最大值是

(A) (B) (C) (D)

练习册系列答案
相关习题

科目:高中数学 来源:2016年全国普通高等学校招生统一考试理科数学(山东卷参考版) 题型:解答题

在△ABC中,角A,B,C的对边分别为a,b,c,已知

(Ⅰ)证明:a+b=2c;

(Ⅱ)求cosC的最小值.

查看答案和解析>>

科目:高中数学 来源:2016年全国普通高等学校招生统一考试理科数学(四川卷参考版) 题型:解答题

在△ABC中,角A,B,C所对的边分别是a,b,c,且.

(Ⅰ)证明:

(Ⅱ)若,求.

查看答案和解析>>

科目:高中数学 来源:2016年全国普通高等学校招生统一考试文科数学(四川卷参考版) 题型:解答题

设函数f(x)=ax2-a-lnx,=,其中a∈R,e=2.718…为自然对数的底数。

(Ⅰ)讨论f(x)的单调性;

(Ⅱ)证明:当x>1时,g(x)>0;

(Ⅲ)确定a的所有可能取值,使得f(x)>g(x)在区间(1,+∞)内恒成立。

查看答案和解析>>

科目:高中数学 来源:2016年全国普通高等学校招生统一考试文科数学(四川卷参考版) 题型:填空题

若函数f(x)是定义R上的周期为2的奇函数,当0<x<1时,f(x)=,则f()+f(2)=

查看答案和解析>>

科目:高中数学 来源:2016年全国普通高等学校招生统一考试文科数学(四川卷参考版) 题型:选择题

为了得到函数y=sin的图象,只需把函数y=sinx的图象上所有的点

(A)向左平行移动个单位长度

(B)向右平行移动个单位长度

(C)向上平行移动个单位长度

(D)向下平行移动个单位长度

查看答案和解析>>

科目:高中数学 来源:2016年全国普通高等学校招生统一考试理科数学(浙江卷参考版) 题型:解答题

如图,在三棱台中,平面平面,,BE=EF=FC=1,BC=2,AC=3.

(Ⅰ)求证:EF⊥平面ACFD;

(Ⅱ)求二面角B-AD-F的平面角的余弦值.

查看答案和解析>>

科目:高中数学 来源:2016年全国普通高等学校招生统一考试文科数学(浙江卷参考版) 题型:解答题

设函数=.证明:

(Ⅰ)

(Ⅱ)

查看答案和解析>>

科目:高中数学 来源:2016年全国普通高等学校招生统一考试数学(江苏卷参考版) 题型:填空题

函数y=的定义域是 .

查看答案和解析>>

同步练习册答案