精英家教网 > 高中数学 > 题目详情

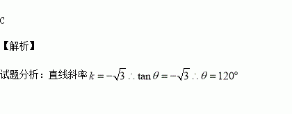
直线的倾斜角是( )

A. B. C. D.

练习册系列答案
相关习题

科目:高中数学 来源:2015-2016学年吉林省扶余市高一上学期期中考试数学试卷(解析版) 题型:选择题

已知集合,集合满足,则集合

A.4个 B.3个 C.2个 D.1个

查看答案和解析>>

科目:高中数学 来源:2015-2016学年西藏日喀则一中高二10月月考文数学试卷(解析版) 题型:选择题

的导函数,的图象如图所示,则的图象只可能是( )

查看答案和解析>>

科目:高中数学 来源:2015-2016学年安徽师大附中高二上学期期中文科数学试卷(解析版) 题型:选择题

双曲线的渐近线与虚轴所在的直线所成的锐角为( )

A. B. C. D.

查看答案和解析>>

科目:高中数学 来源:2015-2016学年四川省实验学校高二上学期期中理科数学试卷(解析版) 题型:解答题

的距离是点的距离的倍.

(1)求点的轨迹方程;

(2)点与点关于点对称,点,求的最大值和最小值.

(3)若过的直线从左向右依次交第(2)问中的轨迹于不同两点,判断的取值范围并证明.

查看答案和解析>>

科目:高中数学 来源:2015-2016学年陕西省西安市高二上学期期中考试理科数学试卷(解析版) 题型:选择题

在∆ABC中,已知a=,b=,C= ,则∆ABC是( )

A.锐角三角形 B.直角三角形 C.钝角三角形 D.任意三角形

查看答案和解析>>

科目:高中数学 来源:2015-2016学年江西铅山一中 、横峰中学高二上学期期中理科数学卷(解析版) 题型:解答题

(12分)已知二次函数f(x)=ax2+bx+1(a,b∈R,a>0),设方程f(x)=x的两个实数根为x1和x2.

(1)如果x1<2<x2<4,设二次函数f(x)的对称轴为x=x0,求证:x0>﹣1;

(2)如果|x1|<2,|x2﹣x1|=2,求b的取值范围.

查看答案和解析>>

科目:高中数学 来源:2015-2016学年湖南省高二上学期期中文科数学试卷(解析版) 题型:选择题

下列函数中,以为最小正周期的偶函数是( )

A.y=sin2x+cos2x B.y=sin2xcos2x

C.y=cos(4x+) D.y=sin22x﹣cos22x

查看答案和解析>>

科目:高中数学 来源:2015-2016学年吉林省扶余市高二上学期期中考试文科数学试卷(解析版) 题型:解答题

如下图,互相垂直的两条公路旁有一矩形花园,现欲将其扩建成一个更大的三角形花园,要求点在射线上,点在射线上,且直线过点,其中米,米.记三角形花园的面积为

(Ⅰ)问:取何值时,取得最小值,并求出最小值;

(Ⅱ)若不超过1764平方米,求长的取值范围.

查看答案和解析>>

同步练习册答案