精英家教网 > 高中数学 > 题目详情
已知数列an=2n,前n项和为Sn,若数列的前n项和为Tn,则T2012的值为( )
A.
B.
C.
D.
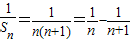
【答案】分析:由已知数列an=2n,可知数列{an}是一个等差数列,可求出其前n项和Sn=n2+n.而,故可用裂项求和求出Tn
解答:解:∵数列an=2n,∴数列{an}是一个等差数列,∴前n项和Sn==n2+n.

∴Tn=…+=1-=
∴T2012=
故选D.
点评:本题考查了等差数列求和及裂项求和问题,理解其公式及计算方法是解题的关键.
练习册系列答案
相关习题

科目:高中数学 来源: 题型:

已知数列an=2n-1,数列{bn}的前n项和为Tn,满足Tn=1-bn
(I)求{bn}的通项公式;
(II)在{an}中是否存在使得
1an+9
是{bn}中的项,若存在,请写出满足题意的一项(不要求写出所有的项);若不存在,请说明理由.

查看答案和解析>>

科目:高中数学 来源: 题型:

(2011•潍坊二模)已知数列an=2n-1(n∈N*),把数列{an}的各项排成如图所示的三角形数阵,记(m,n)表示该数阵中第m行中从左到右的第n个数,则S(10,6)对应于数阵中的数是
101
101

查看答案和解析>>

科目:高中数学 来源: 题型:

已知数列an=2n,前n项和为Sn,若数列{
1
Sn
}
的前n项和为Tn,则T2012的值为(  )

查看答案和解析>>

科目:高中数学 来源: 题型:

(2010•温州一模)已知数列an=2n-1,数列{bn}的前n项和为Tn,满足Tn=1-bn
(I)求{bn}的通项公式;
(II)试写出一个m,使得
1am+9
是{bn}中的项.

查看答案和解析>>

科目:高中数学 来源: 题型:

已知数列an=-2n+12,Sn为其前n项和,则Sn取最大值时,n值为(  )
A、7或6B、5或6C、5D、6

查看答案和解析>>

同步练习册答案