精英家教网 > 高中数学 > 题目详情

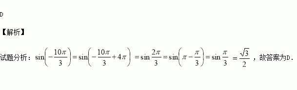
的值等于( )

A.- B. C.- D.

练习册系列答案
相关习题

科目:高中数学 来源:2015-2016学年湖北孝感高中高二上学期期中理科数学试卷(解析版) 题型:填空题

回文数是指从左到右读与从右到左都是一样的正整数.如121,94249是回文数,则4位回文数有 个.

查看答案和解析>>

科目:高中数学 来源:2016届贵州省高三上学期第三次月考理科数学试卷(解析版) 题型:选择题

若函数满足,则函数的单调递增区间是( )

A.

B.

C.

D.

查看答案和解析>>

科目:高中数学 来源:2015-2016学年浙江慈溪中学高一1-3班上期中数学卷(解析版) 题型:选择题

现有四个函数:①;②;③;④的图象(部分)如下,则按照从左到右图象对应的函数序号正确的一组是( )

A.①④③② B.④①②③ C.①④②③ D.③④②①

查看答案和解析>>

科目:高中数学 来源:2015-2016学年山东省高一上学期期中考试数试卷(解析版) 题型:选择题

下列函数中,既不是奇函数也不是偶函数的是( )

A. B.

C. D.

查看答案和解析>>

科目:高中数学 来源:2015-2016学年湖南衡阳八中高二上学期期中文科数学试卷(解析版) 题型:选择题

已知椭圆的长轴长是短轴长的2倍,则椭圆的焦距与短轴长之比为( )

A、 B、 C、3 D、

查看答案和解析>>

科目:高中数学 来源:2015-2016学年黑龙江哈尔滨师大附中高二上期中理数学卷(解析版) 题型:解答题

如图,四棱锥,底面ABCD为矩形,底面,点是棱的中点.

(Ⅰ)证明:平面

(Ⅱ)若,求二面角的平面角的余弦值.

查看答案和解析>>

科目:高中数学 来源:2015-2016学年广东汕头市高二10月月考数学卷(解析版) 题型:填空题

已知正三棱锥V-ABC的正视图和俯视图如右上图所示,则该正三棱锥侧视图的面积是

查看答案和解析>>

科目:高中数学 来源:2016届河南省郑州市高三上学期联考理科数学试卷(解析版) 题型:选择题

已知命题:“存在,使得”,则下列说法正确的是( )

A.是假命题;:“任意,都有

B.是真命题;:“不存在,使得

C.是真命题;:“任意,都有

D.是假命题;:“任意,都有

查看答案和解析>>

同步练习册答案