精英家教网 > 高中数学 > 题目详情

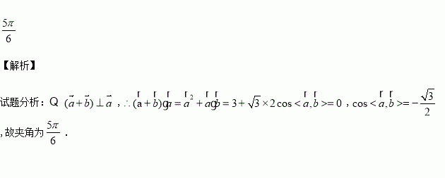
已知向量,其中,且,则向量的夹角是______.

练习册系列答案
相关习题

科目:高中数学 来源:2015-2016学年宁夏六盘山高中高二下第二次月考理数学卷(解析版) 题型:解答题

从4名男生和2 名女生中任选3人参加演讲比赛,设随机变量表示所选3人中女生的人数.

(1)求的分布列(结果用数字表示);

(2)求所选3个中最多有1名女生的概率.

查看答案和解析>>

科目:高中数学 来源:2015-2016学年辽宁省庄河市高一下期中理科数学试卷(解析版) 题型:解答题

已知过点且斜率为的直线与圆交于两点.

(1)求的取值范围;

(2)若,其中为坐标原点,求

查看答案和解析>>

科目:高中数学 来源:2015-2016学年辽宁省庄河市高一下期中理科数学试卷(解析版) 题型:选择题

平面向量的夹角为60°,,则等于( )

A. B. C.4 D.12

查看答案和解析>>

科目:高中数学 来源:2015-2016年新疆兵团农二师华山中学高二下期中理数学卷(解析版) 题型:解答题

已知{an}为等比数列,a1=1,a6=243.Sn为等差数列{bn}的前n项和, b1=3,S5=35.

(1)求{an}和{Bn}的通项公式;

(2)设Tn=a1b1+a2b2+…+anbn,求Tn.

查看答案和解析>>

科目:高中数学 来源:2015-2016年新疆兵团农二师华山中学高二下期中理数学卷(解析版) 题型:选择题

若某几何体的三视图(单位:cm)如图所示,其中左视图是一个边长为2的正三角形,则这个几何体的体积是( )

A.2cm2 B.cm3 C.3cm3 D.3cm3

查看答案和解析>>

科目:高中数学 来源:2015-2016年新疆兵团农二师华山中学高二下期中理数学卷(解析版) 题型:选择题

已知集合( )

A. B. C. D.

查看答案和解析>>

科目:高中数学 来源:2015-2016学年广东中山一中高二下期中理科数学试卷(解析版) 题型:选择题

现有人参加抽奖活动,每人依次从装有张奖票(其中张为中奖票)的箱子中不放回地随机抽取一张,直到张中奖票都被抽出时活动结束,则活动恰好在第人抽完后结束的概率为( )

A. B. C. D.

查看答案和解析>>

科目:高中数学 来源:2016届黑龙江哈尔滨六中高三下四模考试文科数学试卷(解析版) 题型:填空题

如图,程序框图输出的结果是___________.

查看答案和解析>>

同步练习册答案