精英家教网 > 高中数学 > 题目详情

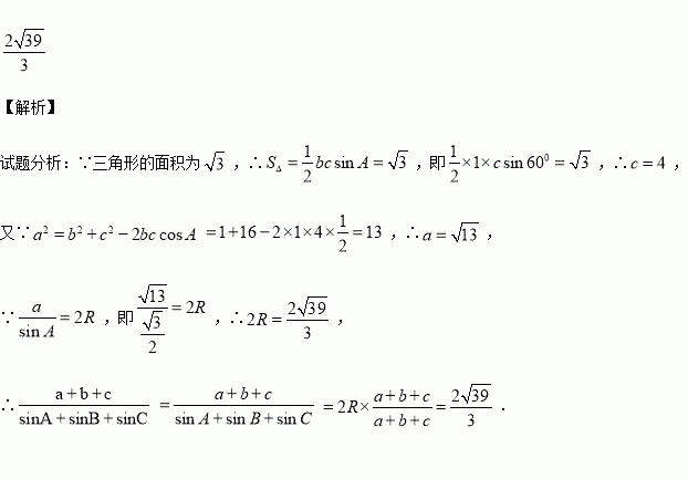
中,,其面积为,则=_______.

练习册系列答案
相关习题

科目:高中数学 来源:2016届辽宁省抚顺市高三10月月考文科数学试卷(解析版) 题型:选择题

已知数列中,,若为等差数列,则( )

A.0 B. C. D.2

查看答案和解析>>

科目:高中数学 来源:2016届河北省高三上学期三调考试文科数学试卷(解析版) 题型:解答题

(本小题满分12分)设函数.已知曲线在点处的切线与直线平行.

(Ⅰ)求的值;

(Ⅱ)是否存在自然数,使得方程内存在唯一的根?如果存在,求出,如果不存在,请说明理由;

(Ⅲ)设函数表示中的较小者),求的最大值.

查看答案和解析>>

科目:高中数学 来源:2016届河北省高三二调理科数学试卷(解析版) 题型:解答题

(本小题满分12分)已知函数,其中为自然对数底数.

(1)讨论函数的单调性,并写出相应的单调区间;

(2)设,若函数对任意都成立,求的最大值.

查看答案和解析>>

科目:高中数学 来源:2015-2016学年广东中山一中高二上第一次段考文科数学卷(解析版) 题型:填空题

在一座高的观测台顶测得对面水塔塔顶的仰角为,塔底俯角为,则这座水塔的高度是__________.

查看答案和解析>>

科目:高中数学 来源:2016届山东省乳山市高三10月月考理科数学试卷(解析版) 题型:解答题

(本小题满分12分)已知函数f(x)=ax+(x≠0,常数a∈R).

(1)讨论函数f(x)的奇偶性,并说明理由;

(2)若函数f(x)在x∈[3,+∞)上为增函数,求a的取值范围.

查看答案和解析>>

科目:高中数学 来源:2015-2016学年黑龙江省牡丹江市高一上学期9月月考数学试卷(解析版) 题型:填空题

函数的定义域为

查看答案和解析>>

科目:高中数学 来源:2015-2016学年河北省高二上学期第二次月考文数学试卷(解析版) 题型:选择题

若点是圆的弦AB的中点,则直线AB的方程是( )

A. B.

C. D.

查看答案和解析>>

科目:高中数学 来源:2015-2016学年福建省福安市高二上学期第一次月考试数学试卷(解析版) 题型:解答题

(本小题8分)解关于x的不等式

查看答案和解析>>

同步练习册答案