精英家教网 > 高中数学 > 题目详情
设a>0,b>0,a+b+ab=24,则( )
A.a+b有最大值8
B.a+b有最小值8
C.ab有最大值8
D.ab有最小值8
【答案】分析:由a>0,b>0,a+b+ab=24,解方程,用a表示b,把ab和a+b转化成只含有字母a的代数式,利用基本不等式求出ab的最大值和a+b的最小值.
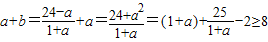
解答:解:∵


故答案为B.
点评:利用基本不等式求最值时,注意一正、二定、三等,如果已知条件出现两个或两个以上的变量时,可以采取消元的方法减少未知量,达到求解的目的,体现了消元的思想方法,属中档题.
练习册系列答案
相关习题

科目:高中数学 来源: 题型:

设a>0,b>0,a+b+ab=24,则(  )
A、a+b有最大值8B、a+b有最小值8C、ab有最大值8D、ab有最小值8

查看答案和解析>>

科目:高中数学 来源: 题型:

设a>0,b>0,a+b=1,求证:
(1)
1
a
+
1
b
+
1
ab
≥8;
(2)(a+2)2+(b+2)2
25
2

查看答案和解析>>

科目:高中数学 来源: 题型:

设a>0,b>0,a,x1,x2,b成等差数列a,y1,y2,b成等比数列,则x1+x2与y1+y2的大小关系是(  )

查看答案和解析>>

科目:高中数学 来源: 题型:

设a>0,b>0,a+b=2,则y=
1
a
+
1
b
的最小值(  )

查看答案和解析>>

科目:高中数学 来源: 题型:

设a>0,b>0,a+b=2,则下列不等式恒成立的有
 

①ab≤1; ②
a
+
b
2
; ③a2+b2≥2.

查看答案和解析>>

同步练习册答案