精英家教网 > 高中数学 > 题目详情

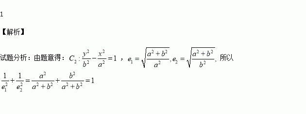
双曲线与双曲线的离心率分别为,则

练习册系列答案
相关习题

科目:高中数学 来源:2016届浙江省高三期中文科数学试卷(解析版) 题型:解答题

在平面直角坐标系中,已知抛物线的准线方程为,过点作抛物线的切线,切点为(异于点),直线过点与抛物线交于两点,与直线交于点

(1)求抛物线的方程;

(2)试问:的值是否为定值?若是,求出定值;若不是,说明理由.

查看答案和解析>>

科目:高中数学 来源:2016届黑龙江省高三上学期期中理科数学试卷(解析版) 题型:选择题

一个正方体被一个平面截去一部分后,剩余部分的三视图如图,则截去部分体积与剩余部分体积的比值为( )

A. B. C. D.

查看答案和解析>>

科目:高中数学 来源:2015-2016学年重庆市高一10月月考数学试卷(解析版) 题型:填空题

市场调查公司为了了解某小区居民在阅读报纸方面的取向,抽样调查了500户居民,调查的结果显示:订阅晨报的有334户,订阅晚报的有297户,其中两种都订的有150户,则两种都不订的有 户.

查看答案和解析>>

科目:高中数学 来源:2015-2016学年山东省高一10月月考数学试卷(解析版) 题型:选择题

下列各组函数中,表示同一函数的是( )

A.

B.

C.

D.

查看答案和解析>>

科目:高中数学 来源:2015-2016学年江苏启东中学高二上学期期中理科数学试卷(解析版) 题型:填空题

已知,若向量共面,则

查看答案和解析>>

科目:高中数学 来源:2015-2016学年广东省深圳市高一上学期期中数学试卷(解析版) 题型:解答题

(本小题满分12分)已知函数

(Ⅰ)若1是关于x的方程的一个解,求t的值;

(Ⅱ)当时,解不等式

(Ⅲ)若函数在区间上有零点,求t的取值范围.

查看答案和解析>>

科目:高中数学 来源:2014-2015学年山西襄汾赵曲中学高一上学期第一次月考人教版数学试卷(解析版) 题型:填空题

若函数f(x)同时满足①对于定义域上的任意x,恒有f(x)+f(-x)=0;②对于定义域上的任意x1,x2,当x1≠x2时,恒有,则称函数f(x)为“理想函数”.给出下列三个函数中:

(1)f(x)=

(2)f(x)=x2.

(3)f(x)=

能被称为“理想函数”的有 (填相应的序号).

查看答案和解析>>

科目:高中数学 来源:2015-2016学年河北省高一10月月考数学试卷(解析版) 题型:选择题

下列各组对象中不能构成集合的是( )

A.正三角形的全体 B.所有的无理数

C.高一数学第一章的所有难题 D.不等式2x+3>1的解

查看答案和解析>>

同步练习册答案