精英家教网 > 高中数学 > 题目详情

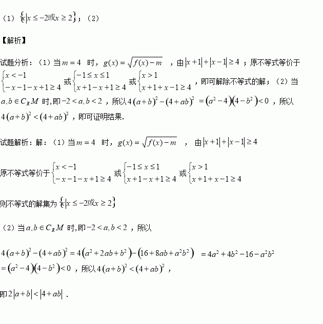
设函数.

(1)当时,求函数的定义域

(2)当时,证明:.

练习册系列答案
相关习题

科目:高中数学 来源:2015-2016学年黑龙江省高一下期中数学试卷(解析版) 题型:选择题

是首项为,公差为的等差数列,为其前项和,若成等比数列,则=( )

A. B. C. D.

查看答案和解析>>

科目:高中数学 来源:2015-2016学年黑龙江省高二下期中理数学试卷(解析版) 题型:选择题

过点且与直线为参数)互相垂直的直线方程为( )

A. B. C. D.

查看答案和解析>>

科目:高中数学 来源:2015-2016学年黑龙江大庆一中高二下第二次段考文数学卷(解析版) 题型:选择题

已知函数的图象与轴只有一个交点,则实数的取值范围是( )

A. B.

C. D.

查看答案和解析>>

科目:高中数学 来源:2015-2016学年黑龙江大庆一中高二下第二次段考文数学卷(解析版) 题型:选择题

若复数满足,则复数z在复平面内的轨迹为( )

A.一个圆 B. 两个圆 C. 一条直线 D. 两条直线

查看答案和解析>>

科目:高中数学 来源:2016届辽宁大连八中、二十四中高三联合模拟理数学试卷(解析版) 题型:解答题

四棱锥中,底面为平行四边形,侧面,已知.

(1)设平面与平面的交线为,求证:

(2)求证:

(3)求直线与面所成角的正弦值.

查看答案和解析>>

科目:高中数学 来源:2016届辽宁大连八中、二十四中高三联合模拟理数学试卷(解析版) 题型:选择题

已知定义在上的函数满足,且,则下列不等式成立的是( )

A. B.

C. D.

查看答案和解析>>

科目:高中数学 来源:2015-2016学年湖北省高二3月月考文科数学试卷(解析版) 题型:解答题

已知等比数列的公比,首项成等差数列.

(1)求数列的通项公式;

(2)若为数列的前项和,求不超过的最大的整数

查看答案和解析>>

科目:高中数学 来源:2015-2016学年贵州省高一下期中数学试卷(解析版) 题型:解答题

某工厂要建造一个长方体无盖贮水池,其容积为4800 深为3。如果池底每平方米的造价为150元,池壁每平方米的造价为120元,怎样设计水池才能使总造价最低?最低总造价是多少?

查看答案和解析>>

同步练习册答案