精英家教网 > 高中数学 > 题目详情
定义在(-1,1)的函数f(x)满足:①对任意x,y∈(-1,1)都有f(x)+f(y)=;②当0<x<1时,f(x)>0.回答下列问题.
(1)判断函数f(x)的奇偶性,并说明理由;
(2)判断函数f(x)在(-1,1)上的单调性,并说明理由;
(3)若,试求的值.
【答案】分析:(1)判断函数f(x)的奇偶性:①判断函数定义域是否关于原点对称,②判断f(-x)与f(x)的关系.
(2)证明函数f(x)的单调性,利用定义,分五步①设元,②作差,③变形,④判号,⑤下结论.
(3)利用题中所给的等式,把要求的已知的相结合,逐步求出要求的值.
解答:解:(1)函数定义域为(-1,1).令x=y=0得f(0)=0,
令y=-x,则有f(x)+f(-x)=0,得f(-x)=-f(x),
所以函数f(x)在区间(-1,1)上是奇函数.(3分)
(2)设-1<x1<x2<1,

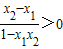
而x2-x1>0,|x1||x2|<1
∴1-x1x2>0

又因为1-x2>0,1+x1>0
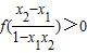
∴(1-x2)(1+x1)=1-x1x2-x2+x1>0,即

所以.即当x1<x2时,f(x1)<f(x2),
∴f(x)在区间(-1,1)上是单调递增函数.(8分)
(3)由于


又∵

(14分)
点评:本题考查了抽象函数的奇偶性,单调性,与具体函数的证明方法相同,做题一定要抓牢定义,特别是证明题,一切方法源根本.
练习册系列答案
相关习题

科目:高中数学 来源: 题型:

已知f(x)是定义在区间[-1,1]上的奇函数,且f(1)=1,若m、n∈[-1,1],m+n≠0时,有
f(m)+f(n)
m+n
>0.
(1)证明函数f(x)在[-1,1]上单调递增;
(2)解不等式f(x+
1
2
)<f(1-x);
(3)若f(x)≤t2-2at+1对所有x∈[-1,1],a∈[-1,1]恒成立,求实数t的取值范围.

查看答案和解析>>

科目:高中数学 来源:不详 题型:解答题

已知f(x)是定义在区间[-1,1]上的奇函数,且f(1)=1,若m、n∈[-1,1],m+n≠0时,有
f(m)+f(n)
m+n
>0.
(1)证明函数f(x)在[-1,1]上单调递增;
(2)解不等式f(x+
1
2
)<f(1-x);
(3)若f(x)≤t2-2at+1对所有x∈[-1,1],a∈[-1,1]恒成立,求实数t的取值范围.

查看答案和解析>>

科目:高中数学 来源:2012-2013学年辽宁省五校协作体高二(上)联合竞赛数学试卷(文科)(解析版) 题型:解答题

已知定义在区间[-1,1]上的函数为奇函数..
(1)求实数b的值.
(2)判断函数f(x)在区间(-1,1)上的单调性,并证明你的结论.
(3)f(x)在x∈[m,n]上的值域为[m,n](-1≤m<n≤1 ),求m+n的值.

查看答案和解析>>

科目:高中数学 来源:2012-2013学年江西省新余四中高三(上)第一次周周练数学试卷(理科)(解析版) 题型:解答题

已知定义在区间[-1,1]上的函数为奇函数..
(1)求实数b的值.
(2)判断函数f(x)在区间(-1,1)上的单调性,并证明你的结论.
(3)f(x)在x∈[m,n]上的值域为[m,n](-1≤m<n≤1 ),求m+n的值.

查看答案和解析>>

科目:高中数学 来源:2012-2013学年江西省吉安市白鹭洲中学高三(上)第一次月考数学试卷(文科)(解析版) 题型:解答题

已知定义在区间[-1,1]上的函数为奇函数..
(1)求实数b的值.
(2)判断函数f(x)在区间(-1,1)上的单调性,并证明你的结论.
(3)f(x)在x∈[m,n]上的值域为[m,n](-1≤m<n≤1 ),求m+n的值.

查看答案和解析>>

同步练习册答案