精英家教网 > 高中数学 > 题目详情

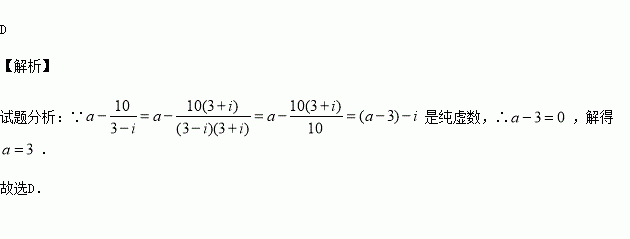
是虚数单位,若复数)是纯虚数,则a的值为( )

A.﹣3 B.﹣1 C.1 D.3

练习册系列答案
相关习题

科目:高中数学 来源:2015-2016学年湖南省高二下学期第一次月考理科数学试卷(解析版) 题型:解答题

(本小题满分12分)在锐角ABC中,角A,B,C所对的边分别为a,b,c,已知b=2asinB.

(Ⅰ)求角A的大小;

(Ⅱ)求sinB+sinC的取值范围.

查看答案和解析>>

科目:高中数学 来源:2016届吉林省长春市高三质量监测理科数学试卷(解析版) 题型:选择题

已知函数,则其图像为( )

查看答案和解析>>

科目:高中数学 来源:2014-2015学年东北三省等三校高三第一次模拟理科数学试卷(解析版) 题型:选择题

设二项式)展开式的二项式系数和与各项系数和分别为,则( )

A. B. C. D.1

查看答案和解析>>

科目:高中数学 来源:2014-2015学年山东省潍坊市诸城市四县高二下学期期末理科数学试卷(解析版) 题型:解答题

,若,求证:

(Ⅰ)方程有实根.

(Ⅱ);设x1,x2是方程的两个实根,则

查看答案和解析>>

科目:高中数学 来源:2014-2015学年山东省高二下学期期末理科数学试卷(解析版) 题型:选择题

函数有( )

A.极大值5,无极小值 B.极小值﹣27,无极大值

C.极大值5,极小值﹣27 D.极大值5,极小值﹣11

查看答案和解析>>

科目:高中数学 来源:2014-2015学年江苏省南通市高二下学期期末文科数学试卷(解析版) 题型:填空题

若命题“,使”是假命题,则实数a的取值范围为

查看答案和解析>>

科目:高中数学 来源:2014-2015学年河南省三门峡市高一下学期模拟考试数学试卷(解析版) 题型:选择题

等比数列{an}的前n项和为Sn,且4a1,2a2,a3成等差数列,若a1=1,则S4等于 ( )

A.7 B.8 C.15 D.16

查看答案和解析>>

科目:高中数学 来源:2016届江西省高三上学期第一次考试理科数学试卷(解析版) 题型:解答题

(本小题10分)已知函数的部分图象如图所示.

(Ⅰ)求函数的解析式;

(Ⅱ)求函数的单调递增区间.

查看答案和解析>>

同步练习册答案