精英家教网 > 高中数学 > 题目详情

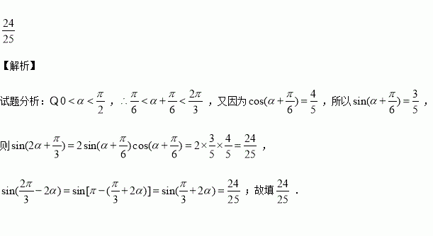
为锐角,若,则________.

练习册系列答案
相关习题

科目:高中数学 来源:2015-2016学年浙江省平湖市高一10月月考数学试卷(解析版) 题型:解答题

(本题8分)已知函数经过点

(1)求的值;

(2)画出函数图象,并写出该函数在上的单调区间.

查看答案和解析>>

科目:高中数学 来源:2015-2016学年河北省高一上学期第一次月考数学试卷(解析版) 题型:选择题

已知的图象关于原点对称,且时,,则时,( )

A. B. C. D.

查看答案和解析>>

科目:高中数学 来源:2015-2016学年福建三明一中高二上第二次月考文数学卷(解析版) 题型:填空题

已知椭圆内一点,则过点A且被该点平分的弦所在的直线方程为

查看答案和解析>>

科目:高中数学 来源:2016届湖南省常德市高三上第五次月考文科数学试卷(解析版) 题型:选择题

已知关于 的不等式组 ,所表示的平面区域的面积为16,则k的值为( )

A.-1或3 B.1 C.1或 D.

查看答案和解析>>

科目:高中数学 来源:2016届河南省高三上第八次大考理科数学试卷(解析版) 题型:填空题

已知函数上是增函数,函数,当时,函数的最大值与最小值的差为,则

查看答案和解析>>

科目:高中数学 来源:2015-2016学年湖南师大附中高二上学期第三次检测数学卷(解析版) 题型:选择题

表面积为的圆锥,它的侧面展开图是一个半圆,则该圆锥的底面半径为( )

A. B. C. D.

查看答案和解析>>

科目:高中数学 来源:2015-2016学年云南省蒙自市高二10月月考理科数学试卷(解析版) 题型:选择题

已知数列是首项为的等比数列,其前项和为,且,则数列的前5项和为

A. B. C. D.

查看答案和解析>>

科目:高中数学 来源:2015-2016学年山东省淄博市高一上学期期中考试数学试卷(解析版) 题型:选择题

义在上的奇函数,满足,且在上单调递减,则的解集为( )

A.

B.

C.

D.

查看答案和解析>>

同步练习册答案