精英家教网 > 高中数学 > 题目详情

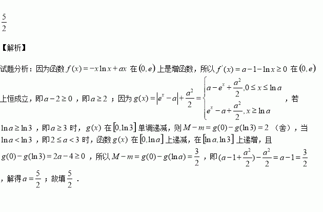
已知函数上是增函数,函数,当时,函数的最大值与最小值的差为,则

练习册系列答案
相关习题

科目:高中数学 来源:2015-2016学年浙江省平湖市高一10月月考数学试卷(解析版) 题型:选择题

若函数上是减函数,则实数的取值范围( )

A. B. C. D.

查看答案和解析>>

科目:高中数学 来源:2015-2016学年广东省普宁市高一上学期期中考试数学试卷(解析版) 题型:选择题

函数上的最大值和最小值之和为,则的值为( )

A. B. C. D.

查看答案和解析>>

科目:高中数学 来源:2016届湖南省常德市高三上第五次月考文科数学试卷(解析版) 题型:解答题

某市举行了“高速公路免费政策”满意度测评,共有1万人参加了这次测评(满分100分,得分全为整数).为了解本次测评分数情况,从中随机抽取了部分人的测评分数进行统计,整理见下表:

组别

分组

频数

频率

1

60

0.12

2

120

0.24

3

180

0.36

4

130

c

5

a

0.02

合计

b

1.00

(1)求出表中的值;

(2)若分数在(含60分)的人对“高速公路免费政策”表示满意,现从全市参加了这次满意度测评的人中随机抽取一人,求此人满意的概率;

(3)请你估计全市的平均分数.

查看答案和解析>>

科目:高中数学 来源:2016届湖南省常德市高三上第五次月考理科数学试卷(解析版) 题型:填空题

为锐角,若,则________.

查看答案和解析>>

科目:高中数学 来源:2015-2016学年湖南师大附中高二上学期第三次检测数学卷(解析版) 题型:解答题

如图,是直角梯形底边的中点,,将△沿折起形成四棱锥

(1)求证:平面

(2)若二面角,求二面角的正切值.

查看答案和解析>>

科目:高中数学 来源:2016届湖南省长沙市高三上学期月考五文科数学试卷(解析版) 题型:填空题

设x,y满足约束条件,则的最大值为_______.

查看答案和解析>>

科目:高中数学 来源:2015-2016学年四川省雅安市高二11月月考文科数学试卷(解析版) 题型:选择题

已知直线恒过定点A,点A也在直线上,其中均为正数,则的最小值为( )

A.2 B.4 C.6 D.8

查看答案和解析>>

科目:高中数学 来源:2015-2016学年吉林省高一上学期期末数学试卷(解析版) 题型:填空题

已知扇形的面积为4,圆心角为2弧度,则该扇形的弧长为

查看答案和解析>>

同步练习册答案