精英家教网 > 高中数学 > 题目详情
设A(x1,y1),B(x2,y2)两点在抛物线y=2x2上,l是AB的垂直平分线,
(Ⅰ)当且仅当x1+x2取何值时,直线l经过抛物线的焦点F?证明你的结论;
(Ⅱ)当x1=1,x2=-3时,求直线l的方程。
解:(Ⅰ)∵抛物线,即

∴焦点为
(1)直线l的斜率不存在时,显然有
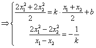
(2)直线l的斜率存在时,设为k,截距为b,即直线l:y=kx+b,
由已知得:

即l的斜率存在时,不可能经过焦点
所以当且仅当时,直线l经过抛物线的焦点F。
(Ⅱ)当x1=1,x2=-3时,直线l的斜率显然存在,设为l:y=kx+b,
则由(Ⅰ)得:
所以直线l的方程为,即x-4y+41=0。
练习册系列答案
相关习题

科目:高中数学 来源: 题型:

已知抛物线C:x2=4y的焦点为F,直线l过点F交抛物线C于A、B两点.
(Ⅰ)设A(x1,y1),B(x2,y2),求
1
y1
+
1
y2
的取值范围;
(Ⅱ)是否存在定点Q,使得无论AB怎样运动都有∠AQF=∠BQF?证明你的结论.

查看答案和解析>>

科目:高中数学 来源: 题型:

设A(x1,y1),B(x2,y2)是函数f(x)=
1
2
+log2
x
1-x
的图象上两点,且
OM
=
1
2
(
OA
+
OB
)
,O为坐标原点,已知点M的横坐标为
1
2

(Ⅰ)求证:点M的纵坐标为定值;
(Ⅱ)定义定义Sn=
n-1
i=1
f(
i
n
)=f(
1
n
)+f(
2
n
)+…+f(
n-1
n
)
,其中n∈N*且n≥2,求S2011
(Ⅲ)对于(Ⅱ)中的Sn,设an=
1
2Sn+1
(n∈N*)
.若对于任意n∈N*,不等式kan3-3an2+1>0恒成立,试求实数k的取值范围.

查看答案和解析>>

科目:高中数学 来源: 题型:

设A(x1,y1),B(x2,y2)是椭圆
y2
a2
+
x2
b2
=1(a>b>0)
上的两点,已知O为坐标原点,椭圆的离心率e=
3
2
,短轴长为2,且
m
=(
x1
b
y1
a
),
n
=(
x2
b
y2
a
)
,若
m
n
=0

(Ⅰ)求椭圆的方程;
(Ⅱ)若直线AB过椭圆的焦点F(0,c)(c为半焦距),求△AOB的面积.

查看答案和解析>>

科目:高中数学 来源: 题型:

设A(x1,y1),B(x2,y2)是函数f(x)=
1
2
+log2
x
1-x
图象上任意两点,且
OM
=
1
2
OA
+
OB
),已知点M的横坐标为
1
2
,且有Sn=f(
1
n
)+f(
2
n
)+…+f(
n-1
n
),其中n∈N*且n≥2,
(1)求点M的纵坐标值;
(2)求s2,s3,s4及Sn
(3)已知an=
1
(Sn+1)(Sn+1+1)
,其中n∈N*,且Tn为数列{an}的前n项和,若Tn≤λ(Sn+1+1)对一切n∈N*都成立,试求λ的最小正整数值.

查看答案和解析>>

科目:高中数学 来源: 题型:

设A(x1,y1)、B(x2,y2)、C(x3,y3)是抛物线y=x2上的三个动点,其中x3>x2≥0,△ABC是以B为直角顶点的等腰直角三角形.
(1)求证:直线BC的斜率等于x2+x3,也等于
x2-x1x3-x2

(2)求A、C两点之间距离的最小值.

查看答案和解析>>

同步练习册答案