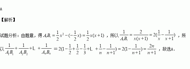
精英家教网 > 高中数学 > 题目详情

如图,分别过点轴的垂线,交的图象于点,交直线于点,则的值为( )

A. B.2 C. D.

练习册系列答案
相关习题

科目:高中数学 来源:2015-2016学年河北定州中学高二下学期期末数学试卷(解析版) 题型:解答题

已知等比数列{an}满足:a1=2,a2•a4=a6.

(1)求数列{an}的通项公式;

(2)记数列bn=,求该数列{bn}的前n项和Sn.

查看答案和解析>>

科目:高中数学 来源:2015-2016学年浙江宁波市九校高一下学期期末数学试卷(解析版) 题型:解答题

已知正项数列的前项和为,数列满足.

(1)求数列的通项公式;

(2)设数列的前项和为,求证:对任意正整数,都有成立;

(3)数列满足,它的前项和为,若存在正整数,使得不等式成立,求实数的取值范围.

查看答案和解析>>

科目:高中数学 来源:2015-2016学年浙江宁波市九校高一下学期期末数学试卷(解析版) 题型:选择题

直线与圆的位置关系为( )

A.相交 B.相切

C.相离 D.以上三个选项都有可能

查看答案和解析>>

科目:高中数学 来源:2015-2016学年浙江杭州高级中学高一上分班模拟数学试卷(解析版) 题型:解答题

(1)先化简,再求值:,其中.

(2)已知关于的二元一次方程的解满足,求的取值范围.

查看答案和解析>>

科目:高中数学 来源:2015-2016学年浙江杭州高级中学高一上分班模拟数学试卷(解析版) 题型:选择题

如图所示,将正方形纸片三次对折后,沿图中线剪掉一个等腰直角三角形,展开铺平得到的图形是( )

查看答案和解析>>

科目:高中数学 来源:2015-2016学年四川成都外国语学校高一下期末文数学试卷(解析版) 题型:解答题

如图,在四面体中,截面是平行四边形,

(1)求证:截面

(2)若截面是正方形,求异面直线所成的角.

查看答案和解析>>

科目:高中数学 来源:2015-2016学年四川成都外国语学校高一下期末文数学试卷(解析版) 题型:选择题

函数的最小值为( )

A.2 B.3 C. D.4

查看答案和解析>>

科目:高中数学 来源:2016届湖北襄阳四中高三六月全真模拟一数学(理)试卷(解析版) 题型:选择题

某射击手射击一次击中目标的概率是0.7,连续两次均击中目标的的概率是0.4,已知某次射中,则随后一次射中的概率是( )

A. B. C. D.

查看答案和解析>>

同步练习册答案