精英家教网 > 高中数学 > 题目详情

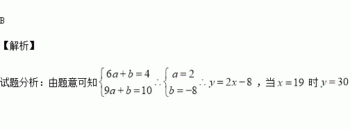
已知集合A=B=R,x∈A,y∈B,f::x→y=ax+b,若4和10的原象分别对应是6和9,则19在f作用下的象为 ( )

A.18 B.30 C. D.28

练习册系列答案
相关习题

科目:高中数学 来源:2015-2016学年湖北荆州中学高二上学期期中文科数学试卷(解析版) 题型:选择题

用斜二测画法作出一个三角形的直观图,则原三角形面积是直观图面积的( )

A.倍 B.倍 C.2倍 D.

查看答案和解析>>

科目:高中数学 来源:2015-2016学年江苏省高二上学期第一次学情调研数学试卷(解析版) 题型:解答题

(本题满分15分) (1)关于x的不等式<2对任意实数x恒成立,求实数m的取值范围.

(2)若不等式x2+px>4x+p-3对一切0≤p≤4均成立,试求实数x的取值范围.

查看答案和解析>>

科目:高中数学 来源:2014-2015学年浙江省等三校高一上学期期中考试数学试卷(解析版) 题型:填空题

,则

查看答案和解析>>

科目:高中数学 来源:2014-2015学年四川省高二下学期4月月考理科数学试卷(解析版) 题型:选择题

一只蜜蜂在一个棱长为3的正方体内自由飞行,若蜜蜂在飞行过程中始终保持与正方体6个表面的距离均大于1,称其为“安全飞行”,则蜜蜂“安全飞行”的概率为

A、 B、 C、 D、

查看答案和解析>>

科目:高中数学 来源:2014-2015学年山东省高二下学期阶段性检测理科数学试卷(解析版) 题型:解答题

已知函数的两个极值点分别为,且,点表示的平面区域为,若函数的图象上存在区域内的点,则实数的取值范围是

A. B. C. D.

查看答案和解析>>

科目:高中数学 来源:2014-2015学年湖北武汉外国语学校高二上学期期中考试文科数学试卷(解析版) 题型:选择题

命题“若α=,则tan α=1”的逆否命题是( )

A.若α≠,则tan α≠1

B.若α=,则tan α≠1

C.若tan α≠1,则α≠

D.若tan α≠1,则α=

查看答案和解析>>

科目:高中数学 来源:2014-2015学年广东省揭阳市高一下学期第二次段考理科数学试卷(解析版) 题型:填空题

关于函数f(x)=cos+cos,有下列说法:

①y=f(x)的最大值为

②y=f(x)是以π为最小正周期的周期函数;

③y=f(x)在区间上单调递减;

④将函数y=cos 2x的图象向左平移个单位后,将与已知函数的图象重合.

其中正确说法的序号是________.(注:把你认为正确的说法的序号都填上)

查看答案和解析>>

科目:高中数学 来源:2016届宁夏银川一中高三上学期第三次月考理科数学试卷(解析版) 题型:填空题

过点的直线与圆交于两点,为圆心,当 最小时,直线的方程是

查看答案和解析>>

同步练习册答案