精英家教网 > 高中数学 > 题目详情

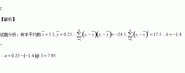
根据如下样本数据,

得到了回归直线方程: ,则

A. B. C. D.

练习册系列答案
相关习题

科目:高中数学 来源:2016-2017学年河北石家庄市高三文9月摸底数学试卷(解析版) 题型:选择题

执行右图的程序框图,如果输入,那么输出的的值为

A.4 B.3

C.2 D.1

查看答案和解析>>

科目:高中数学 来源:2015-2016学年辽宁省协作校高一下期末数学试卷(解析版) 题型:选择题

已知函数的部分图象如图所示,下面结论正确的个数是 ( )

①函数的最小正周期是

②函数的图象可由函数的图象向左平移个单位长度得到

③函数的图象关于直线对称

④函数在区间上是增函数

A.3 B.2 C.1 D.0

查看答案和解析>>

科目:高中数学 来源:2015-2016学年辽宁大连市高一下期末数学试卷(解析版) 题型:填空题

中,角的对边分别为,满足,则角C的值为___________.

查看答案和解析>>

科目:高中数学 来源:2015-2016学年辽宁大连市高一下期末数学试卷(解析版) 题型:选择题

若向量,且,则等于( )

A. B. 2 C. 或2 D.0

查看答案和解析>>

科目:高中数学 来源:2015-2016学年黑龙江肇东一中高一下学期期末考试数学(文)试卷(解析版) 题型:解答题

已知过点且斜率为的直线与圆C:交于两点.

(1)求的取值范围;

(2),其中O为坐标原点,求.

查看答案和解析>>

科目:高中数学 来源:2015-2016学年黑龙江肇东一中高一下学期期末考试数学(文)试卷(解析版) 题型:填空题

若直线与圆相交于A,B两点,且(O为坐标原点),则=_____.

查看答案和解析>>

科目:高中数学 来源:2015-2016学年广东茂名十七中高二下学期期末数学(文)试卷(解析版) 题型:解答题

已知全集为实数集R,集合

(1)分别求

(2)已知集合,若,求实数的取值范围.

查看答案和解析>>

科目:高中数学 来源:2015-2016学年江苏清江中学高二下期中数学(理)试卷(解析版) 题型:解答题

如图所示,已知长方体ABCD—A1B1C1D1中,AB=BC=2,AA1=4, E是棱CC1上的点,且BE⊥B1C.

(1)求CE的长;

(2)求证:A1C⊥平面BED;

(3)求A1B与平面BDE所成角的正弦值.

查看答案和解析>>

同步练习册答案