精英家教网 > 高中数学 > 题目详情

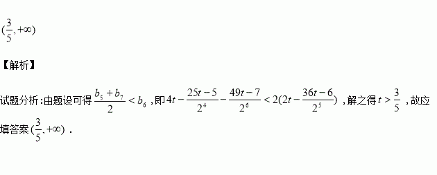
对于数列,若对任意,都有成立,则称数列为“减差数列”.设,若数列,…,)是“减差数列”,则实数的取值范围是

练习册系列答案
相关习题

科目:高中数学 来源:2017届山东省青州市高三10月段测数学试卷(解析版) 题型:解答题

若二次函数)满足,且

(1)求的解析式;

(2)若在区间上,不等式恒成立,求实数的取值范围.

查看答案和解析>>

科目:高中数学 来源:2017届湖南师大附中高三上月考三数学(文)试卷(解析版) 题型:解答题

已知函数

(1)若曲线处的切线方程为,求实数的值;

(2)设,若对任意两个不等的正数,都有恒成立,求实数的取值范围;

(3)若在上存在一点,使得成立,求实数的取值范围.

查看答案和解析>>

科目:高中数学 来源:2017届湖南师大附中高三上月考三数学(文)试卷(解析版) 题型:选择题

),则的大小关系是( )

A. B.

C. D.

查看答案和解析>>

科目:高中数学 来源:2017届湖南师大附中高三上月考三数学(理)试卷(解析版) 题型:解答题

如图,抛物线与双曲线)有公共焦点,点是曲线在在第一象限的交点,且

(1)求双曲线的方程;

(2)以为圆心的圆与双曲线的一条渐进线相切,圆.已知点,过点作互相垂直分别与圆、圆相交的直线,设被圆解得的弦长为被圆截得的弦长为.试探索是否为定值?请说明理由.

查看答案和解析>>

科目:高中数学 来源:2017届湖南师大附中高三上月考三数学(理)试卷(解析版) 题型:选择题

已知偶函数对于任意的满足(其中是函数的导函数),则下列不等式中成立的是( )

A.

B.

C.

D.

查看答案和解析>>

科目:高中数学 来源:2017届湖南师大附中高三上月考三数学(理)试卷(解析版) 题型:选择题

已知命题;命题,则下列命题为真命题的是( )

A. B.

C. D.

查看答案和解析>>

科目:高中数学 来源:2016-2017学年黑吉两省八校高二上期中数学(文)试卷(解析版) 题型:选择题

设函数的导函数为,则最大值为( )

A. B. C. D.

查看答案和解析>>

科目:高中数学 来源:2016-2017学年湖北孝感七校联盟高二文上期中数学试卷(解析版) 题型:选择题

某公司过去五个月的广告费支出与销售额(单位:万元)之间有下列对应数据:

2

4

5

6

8

40

60

50

70

工作人员不慎将表格中的第一个数据丢失.已知呈线性相关关系,且回归方程为,则下列说法:①销售额与广告费支出正相关;②丢失的数据(表中处)为30;③该公司广告费支出每增加1万元,销售额一定增加万元;④若该公司下月广告投入8万元,则销售

额为70万元.其中,正确说法有( )

A.1个 B.2个 C.3个 D.4个

查看答案和解析>>

同步练习册答案