精英家教网 > 高中数学 > 题目详情

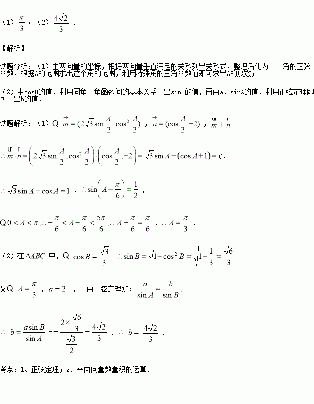
已知角的内角,分别是其对边长,向量

(1)求角的大小;

(2)若的长.

练习册系列答案
相关习题

科目:高中数学 来源:2015-2016学年湖南师大附中高二上学期期中文科数学试卷(解析版) 题型:选择题

为等差数列, 为其前n项和,若首项 ,公差,则使最大的序号n为( )

A.2 B.3 C.4 D.5

查看答案和解析>>

科目:高中数学 来源:2016届湖南师范大学附中高三上学期月考三理科数学试卷(解析版) 题型:解答题

如图,在平行四边形中,的中点,将沿直线折起到的位置,使平面平面

(1)证明:CEPD;

(2)设分别为的中点,求直线与平面所成的角.

查看答案和解析>>

科目:高中数学 来源:2016届福建省高三上学期半期考试文科数学试卷(解析版) 题型:解答题

【选修4-5:不等式选讲】设函数

(1)若,证明:

(2)若,求a的取值范围.

查看答案和解析>>

科目:高中数学 来源:2016届福建省高三上学期半期考试理科数学试卷(解析版) 题型:解答题

已知

(1)若,求实数m的值;

(2)若p是的充分条件,求实数m的取值范围.

查看答案和解析>>

科目:高中数学 来源:2015-2015学年云南省玉溪市高一上学期期中数学试卷(解析版) 题型:解答题

已知函数

(1)求函数的定义域;

(2)若函数的最小值是,求实数的值.

查看答案和解析>>

科目:高中数学 来源:2015-2016学年四川省实验学校高二上学期期中文科数学试卷(解析版) 题型:填空题

已知正方体ABCD-A1B1C1D1,下列结论中正确的是 (只填序号).

①AD1∥BC1;

②平面AB1D1∥平面BDC1;

③AD1∥DC1;

④AD1∥平面BDC1.

查看答案和解析>>

科目:高中数学 来源:2016届山东省高三11月月考数学试卷(解析版) 题型:选择题

设函数,若,且,则下列不等式恒成立的是( )

(A) (B)

(C) (D)

查看答案和解析>>

科目:高中数学 来源:2015-2016学年江西省吉安市高二上期中理科数学试卷(解析版) 题型:选择题

是椭圆的左右焦点,P为直线上一点,是底脚为的等腰三角形,则E的离心率为( )

A. B. C. D.

查看答案和解析>>

同步练习册答案